【药物名称】Levofolinate calcium, Levoleucovorin calcium, Isovorin
化学结构式(Chemical Structure):
参考文献No.58282
标题:Process for separation of folinic acids
作者:Mueller, H.R.; Ulmann, M.; Conti, J.; Muerdel, G.
来源:WO 8808844
合成路线图解说明:

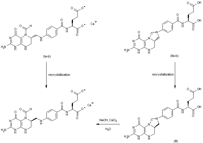
The title compound was isolated by fractional crystallization of the diastereoisomeric mixture of calcium (6R,S)-folinate (Ia-b). This separation has been further improved with the addition of sodium EDTA. The separation of (6R,S) folinic acid has also been described by fractional crystallization of several diamine or polyamine salts of the diastereomeric mixture or by preparative chromatography. Alternatively, the fractional crystallization of 5,10-methenyl-(6R,S)-tetrahydrofolic acid (IIa-b) furnished isomer (III), which was subsequently hydrolyzed to the title compound at a pH of 5.5 to 6.5 in the presence of calcium chloride.

参考文献No.58283
标题:Process for the separation of folinic acid
作者:Ulmann, M.; Conti, J.; M黮ler, H.R.; M黵del, G.
来源:EP 0367902; US 5010194
合成路线图解说明:

The title compound was isolated by fractional crystallization of the diastereoisomeric mixture of calcium (6R,S)-folinate (Ia-b). This separation has been further improved with the addition of sodium EDTA. The separation of (6R,S) folinic acid has also been described by fractional crystallization of several diamine or polyamine salts of the diastereomeric mixture or by preparative chromatography. Alternatively, the fractional crystallization of 5,10-methenyl-(6R,S)-tetrahydrofolic acid (IIa-b) furnished isomer (III), which was subsequently hydrolyzed to the title compound at a pH of 5.5 to 6.5 in the presence of calcium chloride.

参考文献No.58284
标题:A process for the preparation of substd. tetrahydrofolic derivs. in the 6(R,S)(-) forms and of their active 6(S)(-) N5 diastereoisomers in form of alkali and earth alkali metal salts
作者:Vecchi, G.
来源:EP 0537842
合成路线图解说明:

The title compound was isolated by fractional crystallization of the diastereoisomeric mixture of calcium (6R,S)-folinate (Ia-b). This separation has been further improved with the addition of sodium EDTA. The separation of (6R,S) folinic acid has also been described by fractional crystallization of several diamine or polyamine salts of the diastereomeric mixture or by preparative chromatography. Alternatively, the fractional crystallization of 5,10-methenyl-(6R,S)-tetrahydrofolic acid (IIa-b) furnished isomer (III), which was subsequently hydrolyzed to the title compound at a pH of 5.5 to 6.5 in the presence of calcium chloride.

参考文献No.58285
标题:A process for the separation of folinic acids
作者:Vecchi, G.
来源:WO 9315076
合成路线图解说明:

The title compound was isolated by fractional crystallization of the diastereoisomeric mixture of calcium (6R,S)-folinate (Ia-b). This separation has been further improved with the addition of sodium EDTA. The separation of (6R,S) folinic acid has also been described by fractional crystallization of several diamine or polyamine salts of the diastereomeric mixture or by preparative chromatography. Alternatively, the fractional crystallization of 5,10-methenyl-(6R,S)-tetrahydrofolic acid (IIa-b) furnished isomer (III), which was subsequently hydrolyzed to the title compound at a pH of 5.5 to 6.5 in the presence of calcium chloride.

参考文献No.58286
标题:Process for separating stereoisomers of folinic acid
作者:Felder, E.; Ripa, G.; Piva, R. (Bracco SpA)
来源:WO 9317022
合成路线图解说明:

The title compound was isolated by fractional crystallization of the diastereoisomeric mixture of calcium (6R,S)-folinate (Ia-b). This separation has been further improved with the addition of sodium EDTA. The separation of (6R,S) folinic acid has also been described by fractional crystallization of several diamine or polyamine salts of the diastereomeric mixture or by preparative chromatography. Alternatively, the fractional crystallization of 5,10-methenyl-(6R,S)-tetrahydrofolic acid (IIa-b) furnished isomer (III), which was subsequently hydrolyzed to the title compound at a pH of 5.5 to 6.5 in the presence of calcium chloride.

参考文献No.58287
标题:A process for the preparation and separation of diastereomeric salts of folinic acid
作者:Felder, E.; Ripa, G.; Distaso, C. (Bracco SpA; Dibra SpA)
来源:US 5710271; WO 9533749
合成路线图解说明:

The title compound was isolated by fractional crystallization of the diastereoisomeric mixture of calcium (6R,S)-folinate (Ia-b). This separation has been further improved with the addition of sodium EDTA. The separation of (6R,S) folinic acid has also been described by fractional crystallization of several diamine or polyamine salts of the diastereomeric mixture or by preparative chromatography. Alternatively, the fractional crystallization of 5,10-methenyl-(6R,S)-tetrahydrofolic acid (IIa-b) furnished isomer (III), which was subsequently hydrolyzed to the title compound at a pH of 5.5 to 6.5 in the presence of calcium chloride.

参考文献No.58288
标题:Method for the industrial preparation of (6S) folic acid derivs. by chromatographic separation
作者:Ambrosini, L.; Sala, B.
来源:EP 0627435
合成路线图解说明:

The title compound was isolated by fractional crystallization of the diastereoisomeric mixture of calcium (6R,S)-folinate (Ia-b). This separation has been further improved with the addition of sodium EDTA. The separation of (6R,S) folinic acid has also been described by fractional crystallization of several diamine or polyamine salts of the diastereomeric mixture or by preparative chromatography. Alternatively, the fractional crystallization of 5,10-methenyl-(6R,S)-tetrahydrofolic acid (IIa-b) furnished isomer (III), which was subsequently hydrolyzed to the title compound at a pH of 5.5 to 6.5 in the presence of calcium chloride.

参考文献No.58289
标题:Process for the preparation of tetrahydrofolates
作者:Ulmann, M.; Conti, J.; M黮ler, H.R.; M黵del, G.
来源:EP 0348641; US 5006655
合成路线图解说明:

The title compound was isolated by fractional crystallization of the diastereoisomeric mixture of calcium (6R,S)-folinate (Ia-b). This separation has been further improved with the addition of sodium EDTA. The separation of (6R,S) folinic acid has also been described by fractional crystallization of several diamine or polyamine salts of the diastereomeric mixture or by preparative chromatography. Alternatively, the fractional crystallization of 5,10-methenyl-(6R,S)-tetrahydrofolic acid (IIa-b) furnished isomer (III), which was subsequently hydrolyzed to the title compound at a pH of 5.5 to 6.5 in the presence of calcium chloride.

参考文献No.58290
标题:Process for the preparation of (6S)- and (6R)-tetrahydrofolic acid
作者:Ulmann, M.; Conti, J.; M黮ler, H.R.; M黵del, G.
来源:EP 0495204
合成路线图解说明:

The stereospecific synthesis for the title chiral compound was developed, based on the enzymatic reduction of dihydrofolate (V). Reduction of folic acid (IV) to dihydrofolate (V) was effected by means of either sodium dithionite or zinc dust and NaOH. Dihydrofolate reductase-catalyzed asymmetric reduction of (V) in the presence of several recycling enzymes for the reducing cofactor NADPH furnished (6S)-tetrahydrofolate (VI), which was subsequently isolated as the 5,10-methenyl derivative (III) upon treatment with formic acid and trifluoroacetic acid. Aqueous hydrolysis of (III) at a pH of 6.5-6.9 led to the title 5-formyl compound. The chiral (6S)-tetrahydrofolate (VI) has also been obtained by fractional crystallization of the sulfate and several sulfonate salts of the diastereomeric mixture of (6R,S)-tetrahydrofolates from a polar medium.

参考文献No.58291
标题:Optically active pteridine derivs.
作者:Wood, H.C.S.; Rees, L.; Suckling, C.J. (University of Strathclyde)
来源:EP 0266042; EP 1275393; US 2002198212; US 6500829
合成路线图解说明:

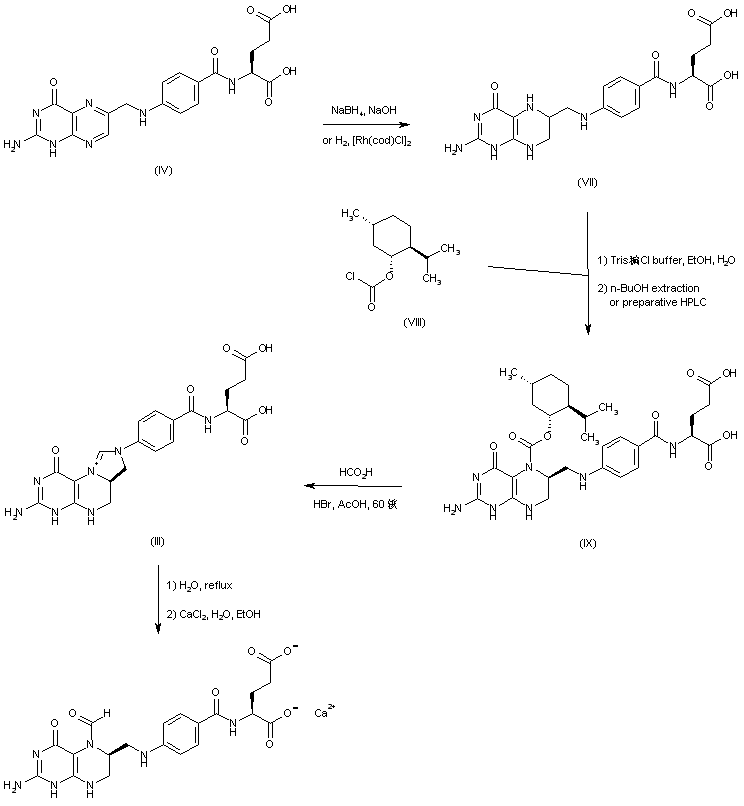
Alternatively, folic acid (IV) was chemically reduced to the (6R,S)-epimeric mixture of tetrahydrofolates (VII) with sodium borohydride in aqueous NaOH. After derivatization of (VII) with (-)-menthyl chloroformate (VIII), the desired (6S) carbamate (IX) was isolated in high diastereoisomeric purity, taking advantage of the different solubility of the diastereoisomers in n-butanol. The menthyloxycarbonyl derivative (IX) was converted to the 5,10-methenyltetrahydrofolate (III) using a mixture of formic acid and acetic acid, saturated with HBr. The cyclic formamidinium salt (III) was then hydrolyzed to the 5-formyl compound, which was finally converted to the corresponding calcium salt. In a closely related method, folic acid (IV) was hydrogenated in the presence of rhodium (I) catalysts supported on an optically active phosphane to provide a diastereomeric mixture of tetrahydrofolate epimers (VII) with moderate diastereomeric excess of the desired (6S) isomer. After derivatization with menthyl chloroformate, the resultant mixture of epimeric mono- and bis-menthyl carbamates was separated using preparative HPLC. The target carbamate (IX) was then converted into the title compound as outlined above.

参考文献No.58292
标题:Process for the preparation of optically pure diastereoisomers of tetrahydrofolate cpds.
作者:Schlingmann, G.; Rosenfeld, S.A. (Wyeth)
来源:EP 0432441
合成路线图解说明:

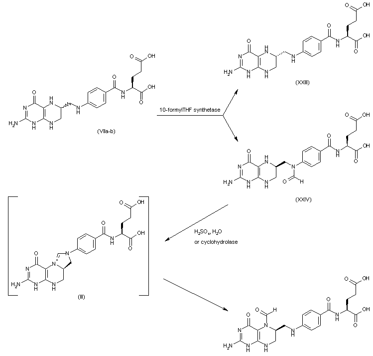
In an alternative enzymatic synthesis, exposure of the diastereoisomeric (6R,S)-tetrahydrofolates (VIIa-b), with a recombinant enzymatic domain as the source of 10-formyltetrahydrofolate synthetase activity, led to the diastereoselective formylation the (6S) tetrahydrofolate at the 10-N (XXIV), while leaving unchanged the unnatural (6R) isomer (XXIII). The chiral 10-formyl tetrahydrofolate (XXIV) was subsequently isomerized to (6S)-5-formyltetrahydrofolate either under acidic conditions, via formation of the intermediate 5,10-methenyl derivative (III) (22), or in the presence of a source of cyclohydrolase activity.

参考文献No.58293
标题:Diastereoisomeric cpds. derived from tetrahydrofolic acid, process for their preparation and use in the synthesis of diastereoisomers 6S and 6R of reduced folates
作者:Marazza, F.; Melera, A.; Viterbo, R.
来源:FR 2659330; US 5239074; WO 9113890
合成路线图解说明:

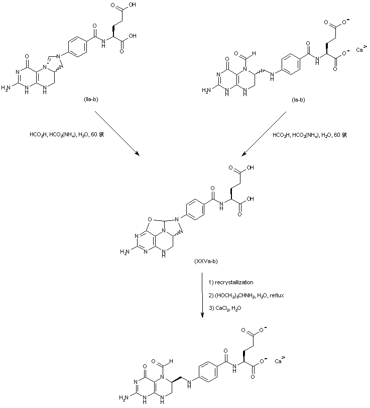
The cyclic orthoamide (XXVa-b) was prepared from either the diastereomeric mixture of 5,10-methenyl-(6R,S)-tetrahydrofolic acids (IIa-b) or from calcium (6R,S)-folinate (Ia-b) in a formic acid/ammonium formate buffer at a pH of 2.3. After isolation of the pure (6S) diastereoisomer (XXV) by repeated recrystallization from aqueous formic acid, the orthoamide function was hydrolyzed employing a buffered solution of tris(hydroxymethyl)aminomethane at a pH of 7.3 to furnish the title compound.

参考文献No.58294
标题:Process for separating the diastereomers of (6R,6S)-5,6,7,8-tetrahydrofolic acid derivs.
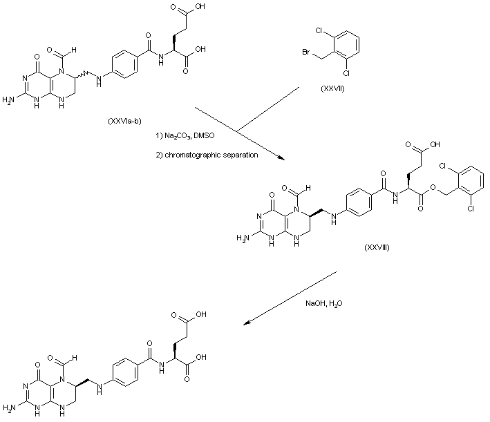
作者:Fitzhugh, A.L.; Akee, R.K. (US Department of Health & Human Services)
来源:US 5698693
合成路线图解说明:

In a further method for the separation of the diastereomeric mixture, (6R,S)-folinic acid (XXVIa-b) was converted to the alpha 2,6-dichlorobenzyl ester upon treatment with 2,6-dichlorobenzyl bromide (XXVII) and Na2CO3. The resultant diastereomeric esters were easily separated by column chromatography to provide the (6S)-isomer (XXVIII), which was finally converted to the title compound by saponification of the benzyl ester group.

参考文献No.703266
标题:Asymmetric reduction of dihydrofolate using dihydrofolate reductase and chiral boron-containing compounds
作者:Rees, L.; et al.
来源:Tetrahedron 1986,42(1),117
合成路线图解说明:

The stereospecific synthesis for the title chiral compound was developed, based on the enzymatic reduction of dihydrofolate (V). Reduction of folic acid (IV) to dihydrofolate (V) was effected by means of either sodium dithionite or zinc dust and NaOH. Dihydrofolate reductase-catalyzed asymmetric reduction of (V) in the presence of several recycling enzymes for the reducing cofactor NADPH furnished (6S)-tetrahydrofolate (VI), which was subsequently isolated as the 5,10-methenyl derivative (III) upon treatment with formic acid and trifluoroacetic acid. Aqueous hydrolysis of (III) at a pH of 6.5-6.9 led to the title 5-formyl compound. The chiral (6S)-tetrahydrofolate (VI) has also been obtained by fractional crystallization of the sulfate and several sulfonate salts of the diastereomeric mixture of (6R,S)-tetrahydrofolates from a polar medium.

参考文献No.703269
标题:Chemo-enzymatic synthesis of optically pure l-leucovorin, an augmentor of 5-fluorouracil cytotoxicity against cancer
作者:Uwajima, T.; Oshiro, T.; Eguchi, T.; Kuge, Y.; Horiguchi, A.; Igarashi, A.; Mochida, K.; Iwakura, M.
来源:Biochem Biophys Res Commun 1990,171(2),684
合成路线图解说明:

The stereospecific synthesis for the title chiral compound was developed, based on the enzymatic reduction of dihydrofolate (V). Reduction of folic acid (IV) to dihydrofolate (V) was effected by means of either sodium dithionite or zinc dust and NaOH. Dihydrofolate reductase-catalyzed asymmetric reduction of (V) in the presence of several recycling enzymes for the reducing cofactor NADPH furnished (6S)-tetrahydrofolate (VI), which was subsequently isolated as the 5,10-methenyl derivative (III) upon treatment with formic acid and trifluoroacetic acid. Aqueous hydrolysis of (III) at a pH of 6.5-6.9 led to the title 5-formyl compound. The chiral (6S)-tetrahydrofolate (VI) has also been obtained by fractional crystallization of the sulfate and several sulfonate salts of the diastereomeric mixture of (6R,S)-tetrahydrofolates from a polar medium.

参考文献No.703277
标题:Synthesis of (6S)-5-formyltetrahydropteroyl-polyglutamates and interconversion to other reduced pteroylpolyglutamate derivatives
作者:Stover, P.; Schirch, V.
来源:Anal Biochem 1992,202(1),82
合成路线图解说明:

The stereospecific synthesis for the title chiral compound was developed, based on the enzymatic reduction of dihydrofolate (V). Reduction of folic acid (IV) to dihydrofolate (V) was effected by means of either sodium dithionite or zinc dust and NaOH. Dihydrofolate reductase-catalyzed asymmetric reduction of (V) in the presence of several recycling enzymes for the reducing cofactor NADPH furnished (6S)-tetrahydrofolate (VI), which was subsequently isolated as the 5,10-methenyl derivative (III) upon treatment with formic acid and trifluoroacetic acid. Aqueous hydrolysis of (III) at a pH of 6.5-6.9 led to the title 5-formyl compound. The chiral (6S)-tetrahydrofolate (VI) has also been obtained by fractional crystallization of the sulfate and several sulfonate salts of the diastereomeric mixture of (6R,S)-tetrahydrofolates from a polar medium.

参考文献No.703282
标题:Large-scale chemoenzymatic synthesis of calcium (6S)-5-formyl-5,6,7,8-tetrahydrofolate [(-)-leucovorin] using the NADPH recycling method
作者:Kuge, Y.; et al.
来源:J Chem Soc - Perkins Trans I 1994,(11),1427
合成路线图解说明:

The stereospecific synthesis for the title chiral compound was developed, based on the enzymatic reduction of dihydrofolate (V). Reduction of folic acid (IV) to dihydrofolate (V) was effected by means of either sodium dithionite or zinc dust and NaOH. Dihydrofolate reductase-catalyzed asymmetric reduction of (V) in the presence of several recycling enzymes for the reducing cofactor NADPH furnished (6S)-tetrahydrofolate (VI), which was subsequently isolated as the 5,10-methenyl derivative (III) upon treatment with formic acid and trifluoroacetic acid. Aqueous hydrolysis of (III) at a pH of 6.5-6.9 led to the title 5-formyl compound. The chiral (6S)-tetrahydrofolate (VI) has also been obtained by fractional crystallization of the sulfate and several sulfonate salts of the diastereomeric mixture of (6R,S)-tetrahydrofolates from a polar medium.

参考文献No.703284
标题:A simple and effective method for preparation of the 6(R)- and 6(S)-diastereoisomers of 5-formyltetrahydrofolate (leucovorin)
作者:Rees, L.; et al.
来源:J Chem Soc Chem Commun 1987,(6),470
合成路线图解说明:

Alternatively, folic acid (IV) was chemically reduced to the (6R,S)-epimeric mixture of tetrahydrofolates (VII) with sodium borohydride in aqueous NaOH. After derivatization of (VII) with (-)-menthyl chloroformate (VIII), the desired (6S) carbamate (IX) was isolated in high diastereoisomeric purity, taking advantage of the different solubility of the diastereoisomers in n-butanol. The menthyloxycarbonyl derivative (IX) was converted to the 5,10-methenyltetrahydrofolate (III) using a mixture of formic acid and acetic acid, saturated with HBr. The cyclic formamidinium salt (III) was then hydrolyzed to the 5-formyl compound, which was finally converted to the corresponding calcium salt. In a closely related method, folic acid (IV) was hydrogenated in the presence of rhodium (I) catalysts supported on an optically active phosphane to provide a diastereomeric mixture of tetrahydrofolate epimers (VII) with moderate diastereomeric excess of the desired (6S) isomer. After derivatization with menthyl chloroformate, the resultant mixture of epimeric mono- and bis-menthyl carbamates was separated using preparative HPLC. The target carbamate (IX) was then converted into the title compound as outlined above.

参考文献No.703285
标题:The preparation of the (6R)- and (6S)-diastereoisomers of 5-formyltetrahydrofolate (leucovorin)
作者:Owens, J.; et al.
来源:J Chem Soc - Perkins Trans I 1993,(7),871
合成路线图解说明:

Alternatively, folic acid (IV) was chemically reduced to the (6R,S)-epimeric mixture of tetrahydrofolates (VII) with sodium borohydride in aqueous NaOH. After derivatization of (VII) with (-)-menthyl chloroformate (VIII), the desired (6S) carbamate (IX) was isolated in high diastereoisomeric purity, taking advantage of the different solubility of the diastereoisomers in n-butanol. The menthyloxycarbonyl derivative (IX) was converted to the 5,10-methenyltetrahydrofolate (III) using a mixture of formic acid and acetic acid, saturated with HBr. The cyclic formamidinium salt (III) was then hydrolyzed to the 5-formyl compound, which was finally converted to the corresponding calcium salt. In a closely related method, folic acid (IV) was hydrogenated in the presence of rhodium (I) catalysts supported on an optically active phosphane to provide a diastereomeric mixture of tetrahydrofolate epimers (VII) with moderate diastereomeric excess of the desired (6S) isomer. After derivatization with menthyl chloroformate, the resultant mixture of epimeric mono- and bis-menthyl carbamates was separated using preparative HPLC. The target carbamate (IX) was then converted into the title compound as outlined above.

参考文献No.703288
标题:Asymmetric Catalysis, 67. Diastereoselective hydrogenation of folic acid with optically active rhodium(I)-diphosphane complexes
作者:Brunner, H.; Huber, C.
来源:Chem Ber 1992,125(9),2085
合成路线图解说明:

Alternatively, folic acid (IV) was chemically reduced to the (6R,S)-epimeric mixture of tetrahydrofolates (VII) with sodium borohydride in aqueous NaOH. After derivatization of (VII) with (-)-menthyl chloroformate (VIII), the desired (6S) carbamate (IX) was isolated in high diastereoisomeric purity, taking advantage of the different solubility of the diastereoisomers in n-butanol. The menthyloxycarbonyl derivative (IX) was converted to the 5,10-methenyltetrahydrofolate (III) using a mixture of formic acid and acetic acid, saturated with HBr. The cyclic formamidinium salt (III) was then hydrolyzed to the 5-formyl compound, which was finally converted to the corresponding calcium salt. In a closely related method, folic acid (IV) was hydrogenated in the presence of rhodium (I) catalysts supported on an optically active phosphane to provide a diastereomeric mixture of tetrahydrofolate epimers (VII) with moderate diastereomeric excess of the desired (6S) isomer. After derivatization with menthyl chloroformate, the resultant mixture of epimeric mono- and bis-menthyl carbamates was separated using preparative HPLC. The target carbamate (IX) was then converted into the title compound as outlined above.

参考文献No.703290
标题:Asymmetric catalysis, 105. Stereoselective hydrogenation of folic acid with immobilized optically active rhodium(I)/diphosphane catalysts
作者:Brunner, H.; et al.
来源:Chem Ber 1997,130(1),55
合成路线图解说明:

Alternatively, folic acid (IV) was chemically reduced to the (6R,S)-epimeric mixture of tetrahydrofolates (VII) with sodium borohydride in aqueous NaOH. After derivatization of (VII) with (-)-menthyl chloroformate (VIII), the desired (6S) carbamate (IX) was isolated in high diastereoisomeric purity, taking advantage of the different solubility of the diastereoisomers in n-butanol. The menthyloxycarbonyl derivative (IX) was converted to the 5,10-methenyltetrahydrofolate (III) using a mixture of formic acid and acetic acid, saturated with HBr. The cyclic formamidinium salt (III) was then hydrolyzed to the 5-formyl compound, which was finally converted to the corresponding calcium salt. In a closely related method, folic acid (IV) was hydrogenated in the presence of rhodium (I) catalysts supported on an optically active phosphane to provide a diastereomeric mixture of tetrahydrofolate epimers (VII) with moderate diastereomeric excess of the desired (6S) isomer. After derivatization with menthyl chloroformate, the resultant mixture of epimeric mono- and bis-menthyl carbamates was separated using preparative HPLC. The target carbamate (IX) was then converted into the title compound as outlined above.

参考文献No.703291
标题:Enantioselective catalyses CXXXV [1]. Stereoselective hydrogenation of folic acid and 2-methylquinoxaline with optically active rhodium(I)-phosphane complexes
作者:Brunner, H.; Rosenboem, S.
来源:Monatsh Chem 2000,131(12),1371
合成路线图解说明:

Alternatively, folic acid (IV) was chemically reduced to the (6R,S)-epimeric mixture of tetrahydrofolates (VII) with sodium borohydride in aqueous NaOH. After derivatization of (VII) with (-)-menthyl chloroformate (VIII), the desired (6S) carbamate (IX) was isolated in high diastereoisomeric purity, taking advantage of the different solubility of the diastereoisomers in n-butanol. The menthyloxycarbonyl derivative (IX) was converted to the 5,10-methenyltetrahydrofolate (III) using a mixture of formic acid and acetic acid, saturated with HBr. The cyclic formamidinium salt (III) was then hydrolyzed to the 5-formyl compound, which was finally converted to the corresponding calcium salt. In a closely related method, folic acid (IV) was hydrogenated in the presence of rhodium (I) catalysts supported on an optically active phosphane to provide a diastereomeric mixture of tetrahydrofolate epimers (VII) with moderate diastereomeric excess of the desired (6S) isomer. After derivatization with menthyl chloroformate, the resultant mixture of epimeric mono- and bis-menthyl carbamates was separated using preparative HPLC. The target carbamate (IX) was then converted into the title compound as outlined above.

参考文献No.703293
标题:Synthesis of tetrahydropteridine C6-stereoisomers, including N5-formyl-(6S)-tetrahydrofolic acid
作者:Bailey, S.W.; et al.
来源:J Org Chem 1992,57(16),4470
合成路线图解说明:

In a different synthetic strategy, L-serine methyl ester (X) was protected as the N-benzyl derivative (XI) by reductive alkylation with benzaldehyde and NaBH4. Ammonolysis of ester (XI) then produced N-benzyl serinamide (XII). Subsequent reduction of the amide function of (XII) employing borane-dimethyl sulfide complex gave diamine (XIII). This was condensed with the chloropyrimidine (XIV) to afford adduct (XV). After protection of the exocyclic amine with di-tert-butyl dicarbonate, alcohol (XVI) oxidation with Dess-Martin periodinane reagent yielded aldehyde (XVII). Reductive coupling of (XVII) with p-aminobenzoyl glutamic acid (XVIII), followed by acidic Boc group deprotection, led to the triaminopropane derivative (XIX). Catalytic hydrogenation of the nitro group of (XIX) and N-debenzylation over Pd/C yielded the pteridine ring precursor (XX).

合成路线图解说明:

Oxidation of the triamino pyrimidinone system (XX) by means of iodine produced the intermediate ortho-iminoquinone (XXI), which underwent hydrolysis to dione (XXII). Subsequent cyclization of (XXII) under controlled conditions led to the chiral tetrahydrofolic acid (VI). Finally, regioselective N5-formylation of (VI) was accomplished by treatment with formic acid and carbonyl diimidazole.

参考文献No.703294
标题:Methenyltetrahydrofolate cyclohydrolase catalyzes the synthesis of (6S)-5-formyltetrahydrofolate
作者:Pelletier, J.N.; McKenzie, R.E.
来源:Bioorg Chem 1996,24(3),220
合成路线图解说明:

In an alternative enzymatic synthesis, exposure of the diastereoisomeric (6R,S)-tetrahydrofolates (VIIa-b), with a recombinant enzymatic domain as the source of 10-formyltetrahydrofolate synthetase activity, led to the diastereoselective formylation the (6S) tetrahydrofolate at the 10-N (XXIV), while leaving unchanged the unnatural (6R) isomer (XXIII). The chiral 10-formyl tetrahydrofolate (XXIV) was subsequently isomerized to (6S)-5-formyltetrahydrofolate either under acidic conditions, via formation of the intermediate 5,10-methenyl derivative (III) (22), or in the presence of a source of cyclohydrolase activity.

Drug Information Express,Drug R&D,Chemical Database,Patent Search.
Copyright © 2006-2026 Drug Future. All rights reserved.Contact Us