【药物名称】Valspodar, SDZ-PSC-833, PSC-833, Amdray
化学结构式(Chemical Structure):
参考文献No.9548
标题:Cyclosporins and their use as pharmaceuticals
作者:Bollinger, P.; B鰈sterli, J.J.; Borel, J.-F.; Krieger, M.; Payne, T.G.; Traber, R.P.; Wenger, R. (Novartis AG)
来源:AU 8817679; EP 0296122; JP 1989045396; JP 1996048696; US 5525590
合成路线图解说明:

By oxidation of cyclosporin D (I) with N-chlorosuccinimide (II) and dimethylsulfide in toluene.

参考文献No.318039
标题:PSC-833
作者:Robinson, C.; Casta馿r, J.
来源:Drugs Fut 1995,20(10),1010
合成路线图解说明:

By oxidation of cyclosporin D (I) with N-chlorosuccinimide (II) and dimethylsulfide in toluene.

参考文献No.569941
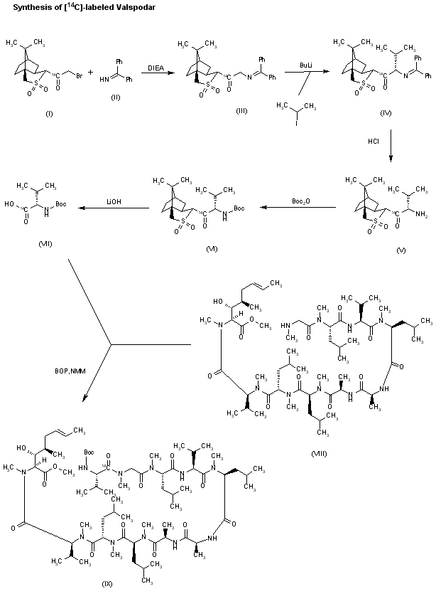
标题:Synthesis of [S-[1-C-14]Val(7)]VALSPODAR application of (+)/(-)-[C-13,14(N)]BABS and (+)/(-)-[C-13,14(N)]DPMGBS, part 4
作者:Metz, Y.; Kohler, B.; Burtscher, P.; Voges, R.; Wenger, R.
来源:J Label Compd Radiopharm 2000,43(3),205
合成路线图解说明:

Reaction of the labeled chiral bromoacetylbornanesultam (I) with benzophenone imine (II) and DIEA in hot acetonitrile gives the imine (III), which is enantioselectively alkylated with isopropyl iodide and n-BuLi yielding the L-valine derivative (IV). Treatment of (IV) with HCl in THF in order to eliminate the diphenylmethylene group affords compound (V) with a free amino group that by protection with Boc2O in THF provides the L-valine derivative (VI). The hydrolysis of (VI) with LiOH in THF/water affords labeled N-(tert-butoxycarbonyl)-L-valine (VII), which is condensed with the decapeptide (VIII) by means of BOP and NMM in dichloromethane providing the linear undecapeptide (IX).

合成路线图解说明:

The reaction of (IX) first with NaOH in ethanol to hydrolyze the terminal ester group, and then with TFA to eliminate the terminal tert-butoxycarbonyl group gives the fully deprotected peptide (X), which is cyclized by means of BOP and NMM in dichloromethane yielding the cyclic peptide (XI). Finally, this compound is oxidized by the modified Pfitzer-Moffat method with DMSO and DCC in tert-butyl methyl ether.

Drug Information Express,Drug R&D,Chemical Database,Patent Search.
Copyright © 2006-2026 Drug Future. All rights reserved.Contact Us