【药物名称】Dexloxiglumide, CR-2017
化学结构式(Chemical Structure):
参考文献No.8893
标题:Derivs. of (R)-5-pentylamino-5-oxopentanoic acid with anticholecystokinin activity
作者:Makovec, F.; Chiste, R.; Peris, W.; Rovati, L. (Rotta Research Laboratorium SpA)
来源:EP 0344184; JP 1988201156; US 5130474; US 5391574; WO 8805774
合成路线图解说明:

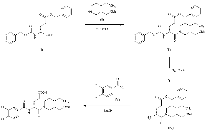
The condensation of the N-(benzyloxycarbonyl)-D-glutamic acid 5-benzyl ester (I) with N-(3-methoxypropyl)-N-pentylamine (II) by means of ethyl chloroformate and triethylamine in THF gives the corresponding amide (III), which is debenzylated by hydrogenation over Pd/C in methanol, yielding compound (IV). Finally, the free amino group of (IV) is acylated with 3,4-dichlorobenzoyl chloride (V) by means of NaOH in water to give dexloxiglumide.

参考文献No.482253
标题:Dexloxiglumide
作者:Casta馿r, J.; Revel, L.; Makovec, F.
来源:Drugs Fut 1999,24(7),725
合成路线图解说明:

The condensation of the N-(benzyloxycarbonyl)-D-glutamic acid 5-benzyl ester (I) with N-(3-methoxypropyl)-N-pentylamine (II) by means of ethyl chloroformate and triethylamine in THF gives the corresponding amide (III), which is debenzylated by hydrogenation over Pd/C in methanol, yielding compound (IV). Finally, the free amino group of (IV) is acylated with 3,4-dichlorobenzoyl chloride (V) by means of NaOH in water to give dexloxiglumide.

Drug Information Express,Drug R&D,Chemical Database,Patent Search.
Copyright © 2006-2026 Drug Future. All rights reserved.Contact Us