【药物名称】Epoxomicin, BU-4061T
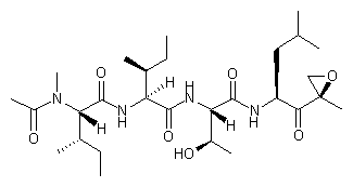
化学结构式(Chemical Structure):
参考文献No.547410
标题:Total synthesis of the potent proteasome inhibitor epoxomicin: A useful tool for understanding proteasome biology
作者:Sin, N.; Kim, K.B.; Elofsson, M.; Meng, L.; Auth, H.; Kwok, B.H.; Crews, C.M.
来源:Bioorg Med Chem Lett 1999,9(15),2283
合成路线图解说明:

Coupling of threonine benzyl ester (I) to Fmoc-Ile-OH (A) with HBTU, HOBt and DIEA in dichloromethane followed by protection of the hydroxyl group with TBDPS-Cl and imidazole in THF affords protected dipeptide (II). Removal of the Fmoc group of (II) with piperidine/DMF followed by coupling of Fmoc-N-Me-Ile-OH (B) with HBTU, HOBt and DIEA gives fully protected tripeptide (III), which is treated with piperidine/DMF for Fmoc removal and acetylated by means of Ac2O, DIEA in dichloromethane to furnish (IV). Debenzylation of (IV) by hydrogenolysis over Pd/C provides intermediate (V). Addition of 2-bromopropene (VII) and t-BuLi to the Boc-leucine Weinreb amide (VI) in Et2O yields alpha',beta'-unsaturated ketone (VIII), which is oxidized by treatment with H2O2 and DIEA in H2O/benzonitrile/MeOH to afford a mixture of epoxides from which (IX) is separated by column chromatography. Boc deprotection and coupling of peptide (V) with intermediate (IX) by means of TFA, HATU, HOAt, DIEA in dichloromethane, furnishes TBDPS-protected derivative (X), which is finally deprotected by treatment with TBAF in THF.

合成路线图解说明:

Alternatively, a solid phase procedure can be followed: Fmoc-Thr(O-TBDMS)-OH (XI) is anchored on 2-chlorotrityl chloride resin by means of DIEA in CH2Cl2 to yield (XII), which then follows a standard solid-phase peptide synthesis (SPPS) protocol to be converted into (XIII). Peptide (XIV) is obtained by treatment of resin (XIII) with HOAc, trifluoroethanol/dichloromethane and is then coupled with intermediate (IX) to afford (XV) in the conditions described above. Finally, the TBDMS group is removed by means of TBAF in THF.

Drug Information Express,Drug R&D,Chemical Database,Patent Search.
Copyright © 2006-2026 Drug Future. All rights reserved.Contact Us