【药物名称】IS-741
化学结构式(Chemical Structure):
参考文献No.16659
标题:Diaminotrifluoromethylpyridine derivs., process for their production and phospholipase A2 inhibitor containing them
作者:Haga, T.; Sugi, H.; Shigehara, I.; Odawara, S.; Yotsuya, S.; Kimura, H.; Yamamoto, K. (Ishihara Sangyo Kaisha, Ltd.)
来源:EP 0465913; JP 1993170742; JP 1994247934; JP 1994263735; US 5229403; US 5260320; US 5348967; US 5492908
合成路线图解说明:

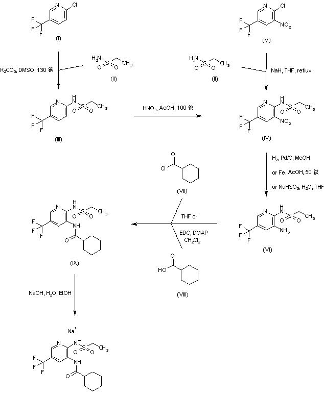
Nucleophilic displacement of 2-chloro-5-(trifluoromethyl)pyridine (I) with ethanesulfonamide (II) in the presence of K2CO3 in hot DMSO afforded the N-pyridyl sulfonamide (III). Subsequent nitration of (III) with fuming nitric acid in HOAc gave the 3-nitro derivative (IV). Preparation of this intermediate was also reported by displacement of 2-chloro-3-nitro-5-(trifluoromethyl)pyridine (V) with the sodium salt of ethanesulfonamide (II). Subsequent reduction of the nitro group of (IV) to the corresponding 3-aminopyridine (VI) was carried out by means of catalytic hydrogenation, iron in HOAc, or sodium hydrosulfite as the reducing agents. Amine (VI) was coupled either with cyclohexanecarbonyl chloride (VII) or with cyclohexanecarboxylic acid (VIII) in the presence of EDC to produce the cyclohexanecarboxamide (IX). The acidic sulfonamide NH group of (IX) was finally converted to the sodium salt by treatment with NaOH.

参考文献No.349327
标题:Synthesis and antipancreatitis activities of novel N-(2-sulfonylamino-5-trifluoromethyl-3-pyridyl)carboxamide derivatives as phospholipase A2 inhibitors
作者:Kimura, H.; Yotsuya, S.; Yuki, S.; Sugi, H.; Shigehara, I.; Haga, T.
来源:Chem Pharm Bull 1995,43(10),1696
合成路线图解说明:

Nucleophilic displacement of 2-chloro-5-(trifluoromethyl)pyridine (I) with ethanesulfonamide (II) in the presence of K2CO3 in hot DMSO afforded the N-pyridyl sulfonamide (III). Subsequent nitration of (III) with fuming nitric acid in HOAc gave the 3-nitro derivative (IV). Preparation of this intermediate was also reported by displacement of 2-chloro-3-nitro-5-(trifluoromethyl)pyridine (V) with the sodium salt of ethanesulfonamide (II). Subsequent reduction of the nitro group of (IV) to the corresponding 3-aminopyridine (VI) was carried out by means of catalytic hydrogenation, iron in HOAc, or sodium hydrosulfite as the reducing agents. Amine (VI) was coupled either with cyclohexanecarbonyl chloride (VII) or with cyclohexanecarboxylic acid (VIII) in the presence of EDC to produce the cyclohexanecarboxamide (IX). The acidic sulfonamide NH group of (IX) was finally converted to the sodium salt by treatment with NaOH.

Drug Information Express,Drug R&D,Chemical Database,Patent Search.
Copyright © 2006-2026 Drug Future. All rights reserved.Contact Us