【药物名称】Ro-44-2104
化学结构式(Chemical Structure):
参考文献No.26303
标题:Use of phenylalkylamines for producing cholesterol lowering agents
作者:Aebi, J.; Guerry, P.; Jolidon, S.; Morand, O. (F. Hoffmann-La Roche AG)
来源:EP 0636367; JP 1995053479; US 5637771
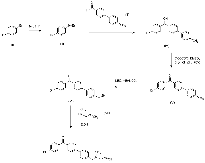
合成路线图解说明:

Grignard reagent (II) prepared from 1,4-dibromobenzene (I) was condensed with biphenylaldehyde (III) to afford alcohol (IV), which was oxidized to ketone (V) under Swern conditions with oxalyl chloride and DMSO at low temperature. Then, allylic bromination with N-bromosuccinimide (NBS) in the presence of azobisisobutyronitrile (AIBN) gave (VI). Finally, N-allyl-N-methylamine (VII) was alkylated with bromide (VI) to provide the tertiary amine.

Drug Information Express,Drug R&D,Chemical Database,Patent Search.
Copyright © 2006-2026 Drug Future. All rights reserved.Contact Us