【药物名称】FOX-988, SDZ-FOX-988
化学结构式(Chemical Structure):
参考文献No.16599
标题:N-Oxymidic acid derivs
作者:Kapa, P.K.; Lee, G.T.-S.; Nadelson, J.; Simpson, W.R.J.; Sunay, U.B. (Novartis AG; Novartis Deutschland GmbH)
来源:EP 0463989; JP 1992230255
合成路线图解说明:

The reaction of 4-(pivaloyl)benzoic acid (I) with refluxing SOCl2 gives the corresponding acyl chloride (II), which is condensed with methoxyamine (III) by means of NaOH in THF to yield N-methoxy-4-(pivaloyl)benzamide (IV). Finally, this compound is condensed with more acyl chloride (II) by means of triethylamine in toluene.

参考文献No.26944
标题:Process for preparing substd. N-oxy-imidic acid derivs
作者:Lee, G.T.; Sunay, U.B.; Kapa, P.K. (Novartis AG)
来源:US 5319123
合成路线图解说明:

The reaction of 4-(pivaloyl)benzoic acid (I) with refluxing SOCl2 gives the corresponding acyl chloride (II), which is condensed with methoxyamine (III) by means of NaOH in THF to yield N-methoxy-4-(pivaloyl)benzamide (IV). Finally, this compound is condensed with more acyl chloride (II) by means of triethylamine in toluene.

参考文献No.311167
标题:Synthesis of [14C2]SDZ FOX 988, a hypoglycemic agent
作者:Sunay, U.B.; Talbot, K.; Prasad, K.; Lee, G.; Jones, L.
来源:J Label Compd Radiopharm 1995,36(6),529-35
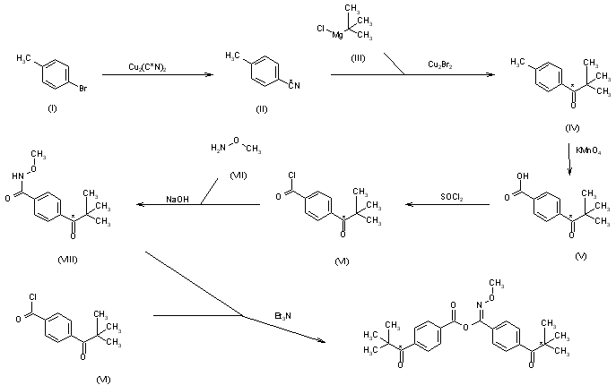
合成路线图解说明:

Radiolabeled SDZ-FOX-988 has been synthesized as follows: The condensation of 4-bromotoluene (I) with [14C]-cuprous cyanide in DMSO at 180 C gives the labeled 4-methylbenzonitrile (II), which by a Grignard reaction with tert-butylmagnesium chloride in THF yields the ketone (IV). The oxidation of (IV) with KMnO4 in tert-butanol affords the labeled 4-pivaloylbenzoic acid (V), which by reaction with refluxing SOCl2 gives the corresponding acyl chloride (VI). The reaction of (VI) with methoxyamine (VII) and triethylamine in toluene yields the corresponding amide (VIII), which is finally condensed with more acyl chloride (VI), by means of triethylamine in toluene.

参考文献No.346924
标题:SDZ-FOX-988
作者:Mealy, N.; Casta馿r, J.
来源:Drugs Fut 1996,21(3),258
合成路线图解说明:

The reaction of 4-(pivaloyl)benzoic acid (I) with refluxing SOCl2 gives the corresponding acyl chloride (II), which is condensed with methoxyamine (III) by means of NaOH in THF to yield N-methoxy-4-(pivaloyl)benzamide (IV). Finally, this compound is condensed with more acyl chloride (II) by means of triethylamine in toluene.

合成路线图解说明:

Radiolabeled SDZ-FOX-988 has been synthesized as follows: The condensation of 4-bromotoluene (I) with [14C]-cuprous cyanide in DMSO at 180 C gives the labeled 4-methylbenzonitrile (II), which by a Grignard reaction with tert-butylmagnesium chloride in THF yields the ketone (IV). The oxidation of (IV) with KMnO4 in tert-butanol affords the labeled 4-pivaloylbenzoic acid (V), which by reaction with refluxing SOCl2 gives the corresponding acyl chloride (VI). The reaction of (VI) with methoxyamine (VII) and triethylamine in toluene yields the corresponding amide (VIII), which is finally condensed with more acyl chloride (VI), by means of triethylamine in toluene.

Drug Information Express,Drug R&D,Chemical Database,Patent Search.
Copyright © 2006-2026 Drug Future. All rights reserved.Contact Us