【药物名称】Voriconazole, UK-109496, Vfend
化学结构式(Chemical Structure):
参考文献No.15599
标题:Triazole antifungal agents
作者:Ray, S.J.; Richardson, K. (Pfizer Inc.)
来源:EP 0440372; JP 1992211078; JP 1997208583; US 5278175; US 5773443
合成路线图解说明:

The cyclization of 2-fluoro-3-oxopentanoic acid ethyl ester (I) with formamidine (II) by means of sodium methoxide in refluxing methanol gives 6-ethyl-5-fluoropyrimidin-4(3H)-one (III), which by reaction with refluxing POCl3 is converted into 4-chloro-6-ethyl-5-fluoropyrimidine (IV). The condensation of (IV) with 1-(2,4-difluorophenyl)-2-(1,2,4-triazol-1-yl)ethanone (V) by means of lithium diisopropylamide in THF yields two pairs of diastereomers (R*,S*)-3-(6-chloro-5-fluoropyrimidin-4-yl)-2-(2,4-difluorophenyl)-1-(1,2,4-triazol-1-yl)-2-butanol (VI) (racemic pair A) and the (R*,R*)-racemic pair B (VII). The reductive dechlorination of (VI) with H2 over Pd/C in ethanol affords the racemic pair (VIII), which is submitted to optical resolution with 1(S)-(+)-10-camphorsulfonic acid.

参考文献No.343618
标题:Voriconazole
作者:Fromtling, R.A.; Casta馿r, J.
来源:Drugs Fut 1996,21(3),266
合成路线图解说明:

The cyclization of 2-fluoro-3-oxopentanoic acid ethyl ester (I) with formamidine (II) by means of sodium methoxide in refluxing methanol gives 6-ethyl-5-fluoropyrimidin-4(3H)-one (III), which by reaction with refluxing POCl3 is converted into 4-chloro-6-ethyl-5-fluoropyrimidine (IV). The condensation of (IV) with 1-(2,4-difluorophenyl)-2-(1,2,4-triazol-1-yl)ethanone (V) by means of lithium diisopropylamide in THF yields two pairs of diastereomers (R*,S*)-3-(6-chloro-5-fluoropyrimidin-4-yl)-2-(2,4-difluorophenyl)-1-(1,2,4-triazol-1-yl)-2-butanol (VI) (racemic pair A) and the (R*,R*)-racemic pair B (VII). The reductive dechlorination of (VI) with H2 over Pd/C in ethanol affords the racemic pair (VIII), which is submitted to optical resolution with 1(S)-(+)-10-camphorsulfonic acid.

参考文献No.605987
标题:Process development of voriconazole: A novel broad-spectrum triazole antifungal agent
作者:Butters, M.; et al.
来源:Org Process Res Dev 2001,5(1),28
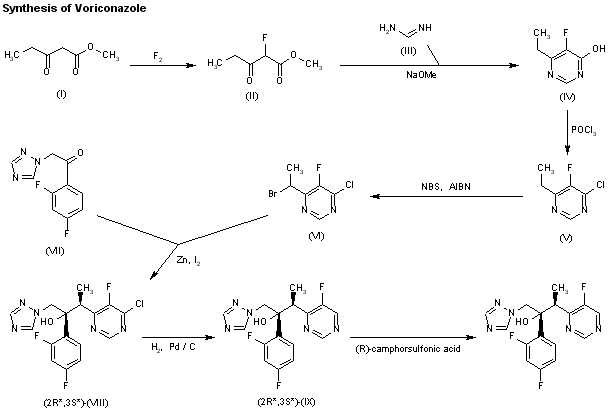
合成路线图解说明:

The fluorination of 3-oxopentanoic acid methyl ester with F2 gas gives 2-fluoro-3-oxopentanoic acid methyl ester (II), which is cyclized with formamidine (III) by means of NaOMe yielding 6-ethyl-5-fluoropyrimidin-4-ol (IV). Reaction of (IV) with POCl3 and TEA in dichloromethane affords 4-chloro-6-ethyl-5-fluoropyrimidine (V), which is brominated with NBS and AIBN in dichloromethane to provide 6-(1-bromoethyl)-4-chloro-5-fluoropyrimidine (VI). Compound (VI) is condensed with 1-(2,4-difluorophenyl)-2-(1,2,4-triazol-1-yl)ethanone (VII) by means of I2 and Zn in THF furnishing a mixture of the diastereomeric racemates (2R*,3R*)- and (2R*,3S*)-3-(6-chloro-5-fluoro-4-pyrimidinyl)-2-(2,4-difluorophenyl)-1-(1H-1,2,4-triazol-1-yl)-2-butanol (VIII) in a 1:10.3 molar ratio. The reductive dechlorination of (2R*,3S*)-(VIII) with H2 over Pd/C gives the (2R*,3S*)-racemate (IX), which is submitted to optical resolution by means of crystallization with (1R)-10-camphorsulfonic acid.

合成路线图解说明:

Alternatively, 6-ethyl-5-fluoropyrimidin-4-ol (IV) can be obtained by reaction of 2,4-dichloro-5-fluoropyrimidine (X) with ethylmagnesium bromide in THF to give the dihydropyrimidine derivative (XI), which is aromatized by reaction with I2 and TEA in THF yielding 2,4-dichloro-6-ethyl-5-fluoropyrimidine (XII). The reaction of (XII) with NaOH and NH4Cl affords the aminooxy derivative (XIII) which is finally submitted to a reductive dechlorination and deamination with H2 over Pd/C in ethanol/water.

Drug Information Express,Drug R&D,Chemical Database,Patent Search.
Copyright © 2006-2026 Drug Future. All rights reserved.Contact Us