【药物名称】BBE
化学结构式(Chemical Structure):
参考文献No.168957
标题:Diarylamidine derivatives with one or both of the aryl moieties consisting of an indole or indole-like ring. Inhibitors of arginine-specific esteroproteases
作者:Tidwell, R.R.; Geratz, J.D.; Dann, O.; Volz, G.; Zeh, D.; Loewe, H.
来源:J Med Chem 1978,21(7),613-23
合成路线图解说明:

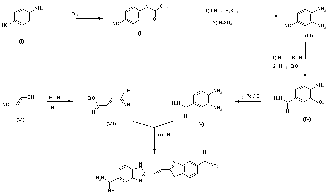
The synthesis of BBE was accomplished using a modified version of a published procedure, as outlined in Scheme 17960101a: Following acetylation (II) of the amine group, 4-aminobenzonitrile (I) was nitrated with potassium nitrate and the acetyl group removed with boiling sulfuric acid to give the mono-nitro product (III). The nitrile was converted to the corresponding amidine in two steps via the Pinner amidine synthesis (1, 2) to give 4-amino-3-nitrobenzamidine (IV). Reduction of the nitro group with 10% Pd-C in a Parr hydrogenator afforded a 60% yield (from compound I) of 3,4-diaminobenzamidine (V). The di-imidate (VII) of fumaronitrile (VI) was prepared by reacting the dinitrile in freshly distilled ethanol with dry HCl gas at 10 C. The di-imidate (VII) was reacted immediately with a 1/2 molar equivalent of 3,4-diaminobenzamidine in refluxing glacial acetic acid. The final product was isolated by trituration with ethyl acetate and filtration. BBE was purified by two recrystallizations from 4% HCl. The yield of the purified product was 15%.

参考文献No.172950
标题:BBE
作者:Tidwell, R.R.; Geratz, J.D.
来源:Drugs Fut 1992,17(5),371
合成路线图解说明:

The synthesis of BBE was accomplished using a modified version of a published procedure, as outlined in Scheme 17960101a: Following acetylation (II) of the amine group, 4-aminobenzonitrile (I) was nitrated with potassium nitrate and the acetyl group removed with boiling sulfuric acid to give the mono-nitro product (III). The nitrile was converted to the corresponding amidine in two steps via the Pinner amidine synthesis (1, 2) to give 4-amino-3-nitrobenzamidine (IV). Reduction of the nitro group with 10% Pd-C in a Parr hydrogenator afforded a 60% yield (from compound I) of 3,4-diaminobenzamidine (V). The di-imidate (VII) of fumaronitrile (VI) was prepared by reacting the dinitrile in freshly distilled ethanol with dry HCl gas at 10 C. The di-imidate (VII) was reacted immediately with a 1/2 molar equivalent of 3,4-diaminobenzamidine in refluxing glacial acetic acid. The final product was isolated by trituration with ethyl acetate and filtration. BBE was purified by two recrystallizations from 4% HCl. The yield of the purified product was 15%.

Drug Information Express,Drug R&D,Chemical Database,Patent Search.
Copyright © 2006-2026 Drug Future. All rights reserved.Contact Us