【药物名称】Reveromycin A
化学结构式(Chemical Structure):
参考文献No.585741
标题:Total synthesis of reveromycin A
作者:Shimizu, T.; Masuda, T.; Hiramoto, K.; Nakata, T.
来源:Org Lett 2000,2(14),2153
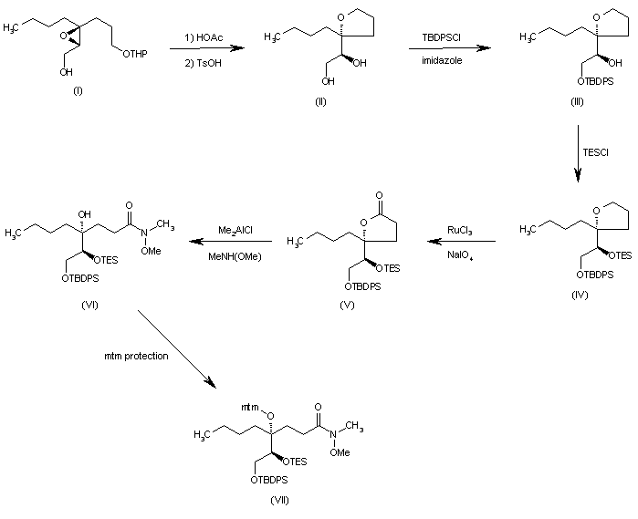
合成路线图解说明:

Synthesis of Weinreb amide (VII). The reaction of the chiral epoxide (I) with HOAc in THF, followed by cyclization with TsOH in methanol gives the chiral tetrahydrofuran derivative (II), which is selectively monosilylated with TBDPSCl and imidazole, yielding silyl ether (III). The silylation of (III) with Tes-Cl affords the disilylated compound (IV), which is oxidized with RuCl3 and NaIO4 in acetonitrile/CCl4/pH 8 buffer to provide the lactone (V). The reaction of (V) with N,O-dimethylhydroxylamine and Me2AlCl in dichloromethane gives the amide (VI), which is finally protected to afford the desired target intermediate (VII).

合成路线图解说明:

Synthesis of alkyne (XIII). The reaction of the protected aldehyde (VIII) with (-)-(E)-crotyldiisopinocampheylborane (CDICB) by means of BF3/Et2O in THF gives the chiral unsaturated alcohol (IX), which is silylated with Tes-Cl and imidazole, yielding the protected unsaturated diol (X). Oxidation of the double bond of (X) with OsO4 and Pb(OAc)4 in toluene affords the aldehyde (XI), which is treated with CBr4, PPh3 and Et3N in dichloromethane to provide the dibromovinyl compound (XII). Finally, (XII) is treated with BuLi in THF to give the target acetylenic intermediate (XIII).

合成路线图解说明:

The condensation of intermediates (VII) and (XIII) by means of n-BuLi in THF, followed by hydrogenation, with H2 over Pd/C in ethyl acetate gives the protected ketone (XIV). The deprotection of the two Tes groups of (XIV) with CSA in chloroform/methanol gives rise to simultaneous intramolecular ketalization to give the two 6,6-spiroketals (XV) and (XVI) with opposite stereochemistry at the spiro center, which are separated by conventional methods. Spiroketal (XV), with correct stereochemistry, is treated with MeI and NaHCO3 in acetone/water to eliminate the mtm protecting group, and the resulting alcohol is esterified with monoallyl succinate (XVII) by means of DCC and DMAP in dichloromethane, yielding the ester (XVIII). The desilylation of (XVIII) with HF in pyridine/THF, followed by oxidation of the resulting alcohol with DMP, affords the aldehyde (XX), which is condensed with phosphonate (XXII) by means of LHMDS and HMPA in THF to give unsaturated allyl ester (XXIII). Elimination of the mpm protecting group of (XXIII) with DDQ in dichloromethane affords the primary alcohol (XXV). Spiroketal (XVI), with opposite stereochemistry, can be recovered by submitting it to the same sequence of reactions as (XV) to furnish intermediates (XIX), (XXI), (XXIV) and finally (XXVI), which is isomerized to (XXV) by treatment with CSA in chloroform/methanol.

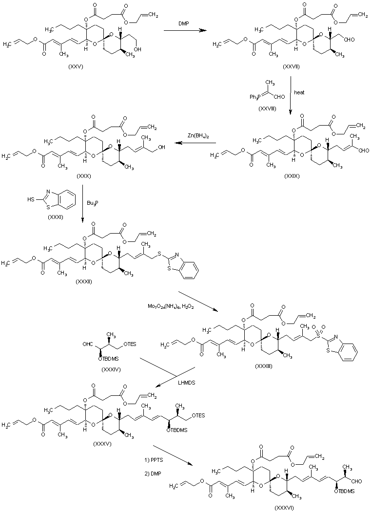
合成路线图解说明:

The oxidation of (XXV) with DMP in dichloromethane gives the aldehyde (XXVII), which is condensed with phosphorane (XXVIII) in refluxing toluene to yield aldehyde (XXIX). The reduction of (XXIX) with Zn(BH4)2 in ethyl ether affords alcohol (XXX), which is condensed with 2-sulfanylbenzothiazole (XXXI) by means of Bu3P and TMAD in benzene providing the thioether (XXXII). The oxidation of (XXXII) with Mo7O24(NH4)6 and H2O2 in ethanol gives the sulfone (XXXIII), which is condensed with the aldehyde (XXXIV) by means of LHMDS in THF to yield intermediate (XXXV). The selective monodesilylation of (XXXV) with PPTS in chloroform/methanol, followed by oxidation with DMP, affords the aldehyde (XXXVI).

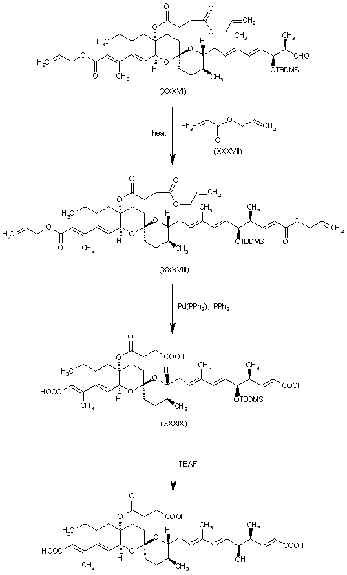
合成路线图解说明:

The condensation of (XXXVI) with phosphorane (XXXVII) in hot toluene gives the fully protected target compound (XXXVIII), which is deallylated by means of Pd(PPh3)4 and PPh3 in pyrrolidine/dichloromethane, yielding intermediate (XXXIX). Finally, this compound is desilylated by means of TBAF in DMF.

Drug Information Express,Drug R&D,Chemical Database,Patent Search.
Copyright © 2006-2026 Drug Future. All rights reserved.Contact Us