【药物名称】Zolmitriptan, BW-311C90, 311C90, Flezol, Zomigon, AscoTop, Zomig
化学结构式(Chemical Structure):
参考文献No.16517
标题:Therapeutic heterocyclic cpds.
作者:Robertson, A.D.; Hill, A.P.; Glen, R.C.; Martin, G.R. (Glaxo Wellcome plc)
来源:EP 0486666; EP 0636623; JP 1993502679; US 5399574; US 5466699; WO 9118897
合成路线图解说明:

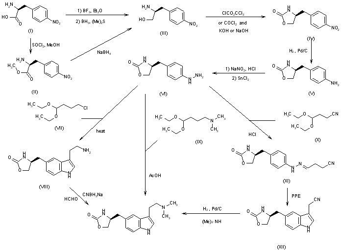
Zolmitriptan can be obtained by several related ways: 1) The esterification of L-4-nitrophenylalanine (I) with SOCl2 and methanol gives the corresponding methyl ester (II), which is reduced with NaBH4 in ethanol/water yielding (S)-2-amino-3-(4-nitrophenyl)-1-propanol (III). The cyclization of (III) with phosgene and KOH affords (S)-4-(4-nitrobenzyl)oxazolidin-2-one (IV), which is reduced with H2 over Pd/C in ethanol/water to the corresponding amino derivative (V). The diazotation of (V) with NaNO2.HCl, followed by reduction with SnCl2 in water affords the expected hydrazino derivative (VI), which is cyclized with 4-chlorobutanal diethylacetal (VII) in refluxing ethanol/water to give (S)-4-[3-(2-aminoethyl)-1H-indol-5-ylmethyl]oxazolidin-2-one (VIII). Finally, this compound is methylated with formaldehyde/sodium cyanoborohydride in methanol. 2) The reduction of L-4-nitrophenylalanine (I) to the propanol (III) can also be performed directly by treatment of (I) first with BF3.(Et)2O, followed by reduction with BH3.(CH3)2S complex in hot dimethoxyethane. 3) The cyclization of propanol (III) to oxazolidinone (IV) can also be performed with trichloromethyl chloroformate and NaOH in dichloromethane. 4) The cyclization of hydrazino derivative (VI) with 4-(dimethylamino)butanal diethylacetal (IX) in refluxing acetic acid/water directly yields zolmitriptan. 5) The condensation of hydrazino derivative (VI) with 3-cyanopropanal diethylacetal (X) in aqueous HCl gives (S)-4-[4-(N2-(3-cyanopropylidene)hydrazino]benzyl]oxazolidin-2-one (XI), which is cyclized with polyphosphate ester (PPE) in refluxing chloroform to yield (S)-4-[3-(cyanomethyl)-1H-indol-5-ylmethyl]oxazolidin-2-one (XII). Finally, this compound is reduced with H2 over Pd/C in 30% w/w ethanolic dimethylamine to afford zolmitriptan.

合成路线图解说明:

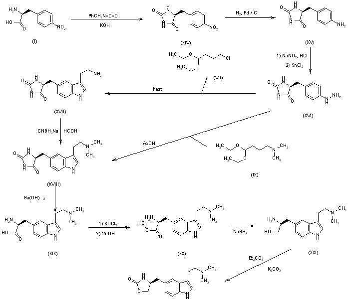
6) The cyclization of L-4-nitrophenylalanine (I) with benzyl isocyanate (XIII) in hot water gives (S)-5-(4-nitrobenzyl)imidazolidine-2,4-dione (XIV), which is reduced with H2 over Pd/C in ethanol/water to the corresponding amino derivative (XV). The diazotation of (XV) with NaNO2.HCl, followed by reduction with SnCl2 in water affords the expected hydrazino derivative (XVI), which is cyclized with 4-chlorobutanal diethylacetal (VII) in refluxing ethanol/water to give (S)-5-[3-(2-aminoethyl)-1H-indol-5-ylmethyl]imidazolidine-2,4-dione (XVII). The reductive methylation of (XVII) with formaldehyde and sodium cyanoborohydride yields (S)-5-[3-[2-(dimethylamino)ethyl]-1H-indol-3-yl]alanine (XIX). The esterification of (XIX) with SOCl2 and methanol affords the corresponding methyl ester (XX), which is reduced with NaBH4 in ethanol/water giving the 2(S)-aminopropanol derivative (XXI). Finally, this compound is cyclized with diethyl carbonate and potassium carbonate at 130 C. 7) The cyclization of hydrazino derivative (XVI) with 4-(dimethylamino)butanal diethylacetal (IX) in refluxing acetic acid/water directly yields (S)-5-[3-[2-(dimethylamino)ethyl]-1H-indol-5-ylmethyl]imidazolidine-2,4-dione (XVIII), already reported.

参考文献No.340745
标题:Computer-aided design and synthesis of 5-substituted tryptamines and their pharmacology at the 5-HT1D receptor: Discovery of compounds with potential anti-migraine properties
作者:Salmon, J.A.; Woollard, P.M.; Robertson, A.D.; Glen, R.C.; Hyde, R.M.; Martin, G.R.; Hill, A.P.; Buckingham, J.
来源:J Med Chem 1995,38(18),3566
合成路线图解说明:

Zolmitriptan can be obtained by several related ways: 1) The esterification of L-4-nitrophenylalanine (I) with SOCl2 and methanol gives the corresponding methyl ester (II), which is reduced with NaBH4 in ethanol/water yielding (S)-2-amino-3-(4-nitrophenyl)-1-propanol (III). The cyclization of (III) with phosgene and KOH affords (S)-4-(4-nitrobenzyl)oxazolidin-2-one (IV), which is reduced with H2 over Pd/C in ethanol/water to the corresponding amino derivative (V). The diazotation of (V) with NaNO2.HCl, followed by reduction with SnCl2 in water affords the expected hydrazino derivative (VI), which is cyclized with 4-chlorobutanal diethylacetal (VII) in refluxing ethanol/water to give (S)-4-[3-(2-aminoethyl)-1H-indol-5-ylmethyl]oxazolidin-2-one (VIII). Finally, this compound is methylated with formaldehyde/sodium cyanoborohydride in methanol. 2) The reduction of L-4-nitrophenylalanine (I) to the propanol (III) can also be performed directly by treatment of (I) first with BF3.(Et)2O, followed by reduction with BH3.(CH3)2S complex in hot dimethoxyethane. 3) The cyclization of propanol (III) to oxazolidinone (IV) can also be performed with trichloromethyl chloroformate and NaOH in dichloromethane. 4) The cyclization of hydrazino derivative (VI) with 4-(dimethylamino)butanal diethylacetal (IX) in refluxing acetic acid/water directly yields zolmitriptan. 5) The condensation of hydrazino derivative (VI) with 3-cyanopropanal diethylacetal (X) in aqueous HCl gives (S)-4-[4-(N2-(3-cyanopropylidene)hydrazino]benzyl]oxazolidin-2-one (XI), which is cyclized with polyphosphate ester (PPE) in refluxing chloroform to yield (S)-4-[3-(cyanomethyl)-1H-indol-5-ylmethyl]oxazolidin-2-one (XII). Finally, this compound is reduced with H2 over Pd/C in 30% w/w ethanolic dimethylamine to afford zolmitriptan.

参考文献No.399409
标题:Zolmitriptan
作者:Ngo, J.; Mealy, N.; Casta馿r, J.
来源:Drugs Fut 1997,22(3),260
合成路线图解说明:

Zolmitriptan can be obtained by several related ways: 1) The esterification of L-4-nitrophenylalanine (I) with SOCl2 and methanol gives the corresponding methyl ester (II), which is reduced with NaBH4 in ethanol/water yielding (S)-2-amino-3-(4-nitrophenyl)-1-propanol (III). The cyclization of (III) with phosgene and KOH affords (S)-4-(4-nitrobenzyl)oxazolidin-2-one (IV), which is reduced with H2 over Pd/C in ethanol/water to the corresponding amino derivative (V). The diazotation of (V) with NaNO2.HCl, followed by reduction with SnCl2 in water affords the expected hydrazino derivative (VI), which is cyclized with 4-chlorobutanal diethylacetal (VII) in refluxing ethanol/water to give (S)-4-[3-(2-aminoethyl)-1H-indol-5-ylmethyl]oxazolidin-2-one (VIII). Finally, this compound is methylated with formaldehyde/sodium cyanoborohydride in methanol. 2) The reduction of L-4-nitrophenylalanine (I) to the propanol (III) can also be performed directly by treatment of (I) first with BF3.(Et)2O, followed by reduction with BH3.(CH3)2S complex in hot dimethoxyethane. 3) The cyclization of propanol (III) to oxazolidinone (IV) can also be performed with trichloromethyl chloroformate and NaOH in dichloromethane. 4) The cyclization of hydrazino derivative (VI) with 4-(dimethylamino)butanal diethylacetal (IX) in refluxing acetic acid/water directly yields zolmitriptan. 5) The condensation of hydrazino derivative (VI) with 3-cyanopropanal diethylacetal (X) in aqueous HCl gives (S)-4-[4-(N2-(3-cyanopropylidene)hydrazino]benzyl]oxazolidin-2-one (XI), which is cyclized with polyphosphate ester (PPE) in refluxing chloroform to yield (S)-4-[3-(cyanomethyl)-1H-indol-5-ylmethyl]oxazolidin-2-one (XII). Finally, this compound is reduced with H2 over Pd/C in 30% w/w ethanolic dimethylamine to afford zolmitriptan.

合成路线图解说明:

6) The cyclization of L-4-nitrophenylalanine (I) with benzyl isocyanate (XIII) in hot water gives (S)-5-(4-nitrobenzyl)imidazolidine-2,4-dione (XIV), which is reduced with H2 over Pd/C in ethanol/water to the corresponding amino derivative (XV). The diazotation of (XV) with NaNO2.HCl, followed by reduction with SnCl2 in water affords the expected hydrazino derivative (XVI), which is cyclized with 4-chlorobutanal diethylacetal (VII) in refluxing ethanol/water to give (S)-5-[3-(2-aminoethyl)-1H-indol-5-ylmethyl]imidazolidine-2,4-dione (XVII). The reductive methylation of (XVII) with formaldehyde and sodium cyanoborohydride yields (S)-5-[3-[2-(dimethylamino)ethyl]-1H-indol-3-yl]alanine (XIX). The esterification of (XIX) with SOCl2 and methanol affords the corresponding methyl ester (XX), which is reduced with NaBH4 in ethanol/water giving the 2(S)-aminopropanol derivative (XXI). Finally, this compound is cyclized with diethyl carbonate and potassium carbonate at 130 C. 7) The cyclization of hydrazino derivative (XVI) with 4-(dimethylamino)butanal diethylacetal (IX) in refluxing acetic acid/water directly yields (S)-5-[3-[2-(dimethylamino)ethyl]-1H-indol-5-ylmethyl]imidazolidine-2,4-dione (XVIII), already reported.

Drug Information Express,Drug R&D,Chemical Database,Patent Search.
Copyright © 2006-2026 Drug Future. All rights reserved.Contact Us