【药物名称】MLS-337, SDZ-MLS-337, SRI-62834(racemate), SDZ-266337
化学结构式(Chemical Structure):
参考文献No.16484
标题:Enantiomers of 2-tetrahydrofuran derivs., intermediates therefor and their preparation
作者:Estermann, H.; Houlihan, W.J.; Kapa, P.K.; Underwood, R.L. (Novartis AG; Novartis Deutschland GmbH)
来源:EP 0462935; JP 1992270276
合成路线图解说明:

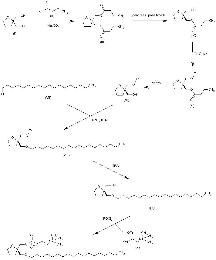
The reaction of tetrahydrofuran-2,2-dimethanol (I) with butyryl chloride (II) and Na2CO3 in dichloromethane gives the dibutyrate (III), which is asymmetrized by means of pancreas lipase type II (PPL) or microbial lipase Mucor javanicus (LMJ), yielding the (R)-monobutyrate (IV). The protection of the OH group of (IV) with Tr-Cl and pyridine in dichloromethane affords the trityl ether (V), which is treated with K2CO3 in methanol to provide the chiral carbinol (VI). The reaction of (VI) with octadecyl bromide (VII) by means of NaH and tetrabutylammonium iodide (TBAI) in refluxing THF gives the corresponding ether (VIII), which is deprotected with TFA in dichloromethane/water to yield the chiral carbinol (IX). Finally this carbinol is condensed with POCl3, choline tosylate (X), TEA and pyridine in THF to afford the target compound.

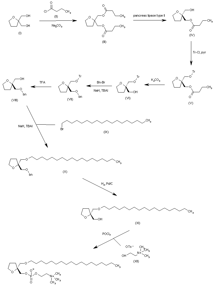
合成路线图解说明:

The reaction of tetrahydrofuran-2,2-dimethanol (I) with butyryl chloride (II) and Na2CO3 in dichloromethane gives the dibutyrate (III), which is asymmetrized by means of pancreas lipase type II (PPL) or microbial lipase Mucor javanicus (LMJ) yielding the (R)-monobutyrate (IV). The protection of the OH group of (IV) with Tr-Cl and pyridine in dichloromethane affords the trityl ether (V), which is treated with K2CO3 in methanol to provide the chiral carbinol (VI). The reaction of (VI) with benzyl bromide by means of NaH and tetrabutylammonium iodide (TBAI) in refluxing THF gives the corresponding benzyl ether (VII), which is deprotected with TFA in dichloromethane/water to yield the chiral carbinol (VIII). The reaction of (VIII) with octadecyl bromide (IX) by means of NaH and tetrabutylammonium iodide (TBAI) in refluxing THF gives the corresponding octadecyl ether (X), which is debenzylated by hydrogenation with H2 over Pd/C in ethanol to yield the chiral carbinol (XI). Finally, this carbinol is condensed with POCl3, choline tosylate (XII), TEA and pyridine in THF to afford the target compound.

参考文献No.344794
标题:Asymmetrization of tetrahydrofuran-2,2-dimethanol: Synthesis of the enantiomers of SRI 62-834
作者:Prasad, K.; et al.
来源:J Org Chem 1995,60(23),7693
合成路线图解说明:

The reaction of tetrahydrofuran-2,2-dimethanol (I) with butyryl chloride (II) and Na2CO3 in dichloromethane gives the dibutyrate (III), which is asymmetrized by means of pancreas lipase type II (PPL) or microbial lipase Mucor javanicus (LMJ), yielding the (R)-monobutyrate (IV). The protection of the OH group of (IV) with Tr-Cl and pyridine in dichloromethane affords the trityl ether (V), which is treated with K2CO3 in methanol to provide the chiral carbinol (VI). The reaction of (VI) with octadecyl bromide (VII) by means of NaH and tetrabutylammonium iodide (TBAI) in refluxing THF gives the corresponding ether (VIII), which is deprotected with TFA in dichloromethane/water to yield the chiral carbinol (IX). Finally this carbinol is condensed with POCl3, choline tosylate (X), TEA and pyridine in THF to afford the target compound.

合成路线图解说明:

The reaction of tetrahydrofuran-2,2-dimethanol (I) with butyryl chloride (II) and Na2CO3 in dichloromethane gives the dibutyrate (III), which is asymmetrized by means of pancreas lipase type II (PPL) or microbial lipase Mucor javanicus (LMJ) yielding the (R)-monobutyrate (IV). The protection of the OH group of (IV) with Tr-Cl and pyridine in dichloromethane affords the trityl ether (V), which is treated with K2CO3 in methanol to provide the chiral carbinol (VI). The reaction of (VI) with benzyl bromide by means of NaH and tetrabutylammonium iodide (TBAI) in refluxing THF gives the corresponding benzyl ether (VII), which is deprotected with TFA in dichloromethane/water to yield the chiral carbinol (VIII). The reaction of (VIII) with octadecyl bromide (IX) by means of NaH and tetrabutylammonium iodide (TBAI) in refluxing THF gives the corresponding octadecyl ether (X), which is debenzylated by hydrogenation with H2 over Pd/C in ethanol to yield the chiral carbinol (XI). Finally, this carbinol is condensed with POCl3, choline tosylate (XII), TEA and pyridine in THF to afford the target compound.

参考文献No.595800
标题:Antitumor ether lipids and alkylphosphocholines
作者:Lohmeyer, M.; Bittman, R.
来源:Drugs Fut 1994,19(11),1021
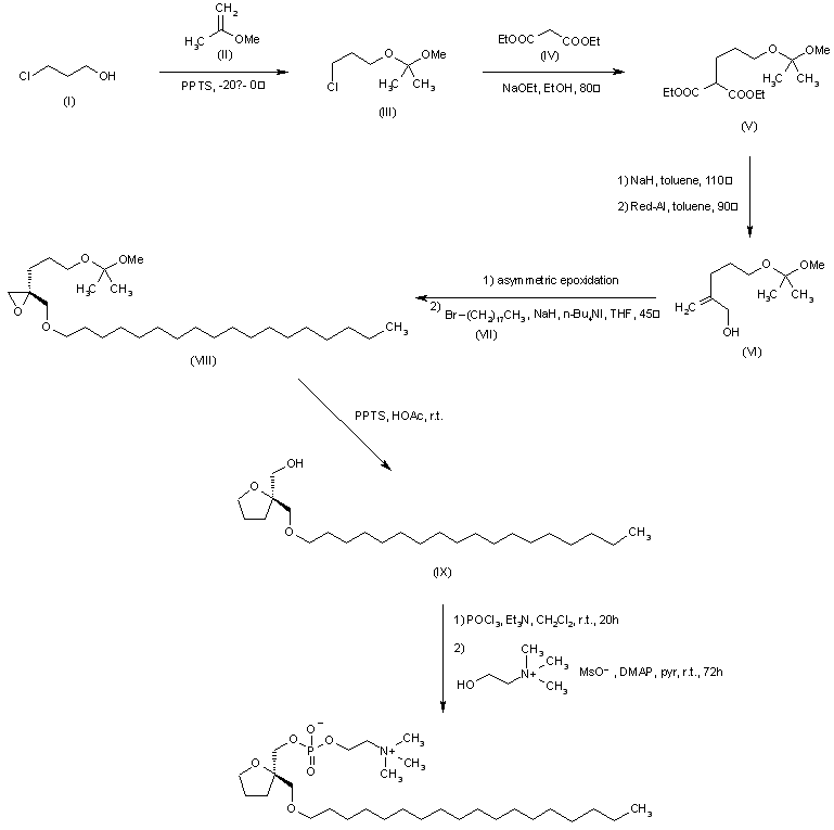
合成路线图解说明:

The reaction of 3-chloropropanol (I) with 2-methoxypropene (II) by means of PPTS gives the mixed ketal (III), which is condensed with diethyl malonate (IV) by means of sodium ethoxide in hot ethanol, affording the adduct (V). The reduction of (V) with NaH and Red-Al in refluxing toluene provides the allyl alcohol derivative (VI), which is submitted to an asymmetric epoxidation to give the epoxide (VII). The reaction of (VII) with octadecyl bromide (VIII) by means of NaH and tetrabutylammonium iodide (TBAI) yields the corresponding ether (IX), which by reaction with PPTS in HOAc is converted to the tetrahydrofuran-2-methanol derivative (X). Finally, this compound is condensed with POCl3, TEA, choline mesylate (XI) and DMAP in dichloromethane/pyridine to afford the target compound.

Drug Information Express,Drug R&D,Chemical Database,Patent Search.
Copyright © 2006-2026 Drug Future. All rights reserved.Contact Us