【药物名称】Repaglinide, NN-623, AG-EE-623 ZW, AG-EE-388(racemate), GlucoNorm, Actulin, Prandin, NovoNorm
化学结构式(Chemical Structure):
参考文献No.5623
标题:New solid forms of 2-ethoxy-4-[N-[1-(2-piperidino-phenyl)-3-methyl-1-butyl] aminocarbonylmethyl]benzoic acid, medicines containing them and process for their preparation
作者:Grell, W. (Dr. Karl Thomae GmbH)
来源:AU 8659139; DE 3522604; EP 0207331; ES 8802145; JP 1987000474
合成路线图解说明:

1) The condensation of 3-methyl-1-[2-(1-piperidinyl)phenyl)butylamine (I) with 2-[3-ethoxy-4-(ethoxycarbonyl)phenyl]acetic acid (II) by means of triphenylphosphine, triethylamine and CCl4 gives the corresponding amide-ester (III), which is then hydrolyzed with NaOH in ethanol/water to the racemic repaglinide. 2) The condensation of amine (I) with 2-[4-(ethoxycarbonyl)-3-hydroxyphenyl]acetic acid (IV) by means of triphenylphosphine as before yields the corresponding amide-ester (V), which is then submitted to ethoxylation with NaH and ethyl bromide in DMF to afford the racemic amide-ester (III), already obtained.

参考文献No.19771
标题:(S)(+)-2-(Ethoxy-4-[N-[1-(2-piperidinophenyl)-3-methyl-1-butyl] aminocarbonylmethyl]benzoic acid
作者:Grell, W.; Greischel, A.; Zahn, G.; Mark, M.; Knorr, H.; Rupprecht, E.; M黮ler, U. (Dr. Karl Thomae GmbH)
来源:EP 0589874; JP 1994508816; WO 9300337
合成路线图解说明:

3) The reaction of 3-methyl-1-[2-(1-piperidinyl)phenyl]butan-1-imine (VI) with acetic acid, triphenylphosphine and CCl4 (or with acetic anhydride and NaHCO3) gives N-[3-methyl-2-(1-piperidinyl)phenyl]-1(Z)-butenyl]acetamide (VII), with some of the (E)-isomer. The stereoselective reduction of the (Z)-isomer (VII) with the chiral complex Ru(OAc)2[(S)-2,2'-bis(diphenylphosphino-1,1'-binaphthyl] (S-BINAP), triethylamine and titanium tetraisopropoxide in methanol/methylene chloride yields N-[3-methyl-1(S)-[2-(1-piperidinyl)phenyl]butyl]acetamide (VIII). The hydrolysis of the chiral amide (VIII) with refluxing concentrated HCl affords the chiral amine (S-I), which is then condensed with the phenylacetic acid (II) by means of triphenylphosphine as before (or with dicyclohexylcarbodiimide) to give the chiral amide-ester (S-III). Finally, this ester is hydrolyzed to repaglinide with NaOH in hot ethanol. 4) The reductocondensation of 3-methyl-1-[2-(1-piperidyl)-1-butanone (IX) with 1(S)-phenylethylamine (S-X) yields the (S)-chiral ketimine (XI), which is reduced with TiCl4 in toluene yielding the (S,S)-chiral secondary amine (S,S-XII). Finally, the 1(S)-phenylethyl group of (S,S-XII) is eliminated by hydrogenolysis with H2 over Pd/C in diluted aqueous HCl to afford the (S)-chiral amine (S-I), already obtained. 5) The condensation of 1(R)-phenylethylamine (R-X) with 2-(1-piperidinyl)benzaldehyde (XIII) gives the corresponding chiral (R)-aldimine (XIV), which is converted into the (S,R)-chiral secondary amine (S,R-XII) by a Grignard reaction with isobutyl bromide in THF. Finally, the 1(R)-phenylethyl group of (S,R-XII) is eliminated by hydrogenolysis as before to afford the previously obtained (S)-chiral amine (S-I).

参考文献No.29067
标题:Novel quinoline carboxylic acid derivs. having 7-(4-amino-methyl-3-oxime)pyrrolidine substituents and processes for their preparation
作者:Kwak, J.H.; Jeong, Y.N.; Oh, J.I. (LG Chem Ltd.)
来源:CA 2151890; EP 0688772; JP 1996041050; US 5633262; US 5698570; US 5776944
合成路线图解说明:

1) The condensation of 3-methyl-1-[2-(1-piperidinyl)phenyl)butylamine (I) with 2-[3-ethoxy-4-(ethoxycarbonyl)phenyl]acetic acid (II) by means of triphenylphosphine, triethylamine and CCl4 gives the corresponding amide-ester (III), which is then hydrolyzed with NaOH in ethanol/water to the racemic repaglinide. 2) The condensation of amine (I) with 2-[4-(ethoxycarbonyl)-3-hydroxyphenyl]acetic acid (IV) by means of triphenylphosphine as before yields the corresponding amide-ester (V), which is then submitted to ethoxylation with NaH and ethyl bromide in DMF to afford the racemic amide-ester (III), already obtained.

合成路线图解说明:

The addition of glycine ethyl ester (I) to 2-propenenitrile (II) by means of KOH in water gives N-(2-cyanoethyl)glycine ethyl ester (III), which is cyclized by means of di-tert-butyl dicarbonate yielding the protected pyrrolidinone (IV). The reduction of (IV) with NaBH4 in ethanol affords the pyrrolidinol (V), which is further reduced with LiAlH4 in THF and protected with di-tert-butyl dicarbonate to give the fully N-protected compound (VI). The oxidation of (VI) with pyridine/SO3 complex yields the pyrrolidinone (VII), which is treated with O-methylhydroxylamine (VIII) to afford the correponding oxime (IX). The deprotection of (IX) with acetyl chloride in cool methanol gives 4-(aminomethyl)pyrrolidin-3-one O-methyloxime (X), which is finally condensed with 7-chloro-1-cyclopropyl-6-fluoro-4-oxo-1,4-dihydro-1,8-naphthyridine-3-carboxylic acid (XI) by means of 1,8-diazabicyclo[5.4.0]undec-7-ene (DBU) in acetonitrile.

参考文献No.55538
标题:Synthesis of 3-ethoxy-4-ethoxycarbonyl phenyl acetic acid, a key acid synthon of repaglinide
作者:Kumar, N.; Biswas, S.; Salman, M.; Babu, S.J.; Ray, P.C. (Ranbaxy Laboratories Ltd.)
来源:WO 0135900
合成路线图解说明:

The reaction of 2-hydroxy-4-methylbenzoic acid (I) with ethyl bromide (II) and K2CO3 in DMSO gives 2-ethoxy-4-methylbenzoic acid ethyl ester (III), which is carboxylated by reaction with LDA and CO2 in THF/1,3-dimethylperhydropyrimidin-2-one to furnish the target intermediate the 2-[3-ethoxy-4-(ethoxycarbonyl)phenyl]acetic acid (IV).

参考文献No.61352
标题:Process for the preparation of repaglinide
作者:Kumar, N.; Salman, M.; Ray, P.C.; Babu, J.S. (Ranbaxy Laboratories Ltd.)
来源:WO 0327072
合成路线图解说明:

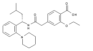
The condensation of 2-[3-ethoxy-4-(ethoxycarbonyl)phenyl]acetic acid (I) with 3-methyl-1(S)-(2-(1-piperidinyl)phenyl)butylamine (II) by activation with pivaloyl chloride and TEA in toluene gives the corresponding amide (III), which is finally hydrolyzed by means of NaOH water/denaturated spirit to afford the target Repaglinide.

参考文献No.364259
标题:Repaglinide
作者:Graul, A.; Casta馿r, J.
来源:Drugs Fut 1996,21(7),694
合成路线图解说明:

1) The condensation of 3-methyl-1-[2-(1-piperidinyl)phenyl)butylamine (I) with 2-[3-ethoxy-4-(ethoxycarbonyl)phenyl]acetic acid (II) by means of triphenylphosphine, triethylamine and CCl4 gives the corresponding amide-ester (III), which is then hydrolyzed with NaOH in ethanol/water to the racemic repaglinide. 2) The condensation of amine (I) with 2-[4-(ethoxycarbonyl)-3-hydroxyphenyl]acetic acid (IV) by means of triphenylphosphine as before yields the corresponding amide-ester (V), which is then submitted to ethoxylation with NaH and ethyl bromide in DMF to afford the racemic amide-ester (III), already obtained.

合成路线图解说明:

3) The reaction of 3-methyl-1-[2-(1-piperidinyl)phenyl]butan-1-imine (VI) with acetic acid, triphenylphosphine and CCl4 (or with acetic anhydride and NaHCO3) gives N-[3-methyl-2-(1-piperidinyl)phenyl]-1(Z)-butenyl]acetamide (VII), with some of the (E)-isomer. The stereoselective reduction of the (Z)-isomer (VII) with the chiral complex Ru(OAc)2[(S)-2,2'-bis(diphenylphosphino-1,1'-binaphthyl] (S-BINAP), triethylamine and titanium tetraisopropoxide in methanol/methylene chloride yields N-[3-methyl-1(S)-[2-(1-piperidinyl)phenyl]butyl]acetamide (VIII). The hydrolysis of the chiral amide (VIII) with refluxing concentrated HCl affords the chiral amine (S-I), which is then condensed with the phenylacetic acid (II) by means of triphenylphosphine as before (or with dicyclohexylcarbodiimide) to give the chiral amide-ester (S-III). Finally, this ester is hydrolyzed to repaglinide with NaOH in hot ethanol. 4) The reductocondensation of 3-methyl-1-[2-(1-piperidyl)-1-butanone (IX) with 1(S)-phenylethylamine (S-X) yields the (S)-chiral ketimine (XI), which is reduced with TiCl4 in toluene yielding the (S,S)-chiral secondary amine (S,S-XII). Finally, the 1(S)-phenylethyl group of (S,S-XII) is eliminated by hydrogenolysis with H2 over Pd/C in diluted aqueous HCl to afford the (S)-chiral amine (S-I), already obtained. 5) The condensation of 1(R)-phenylethylamine (R-X) with 2-(1-piperidinyl)benzaldehyde (XIII) gives the corresponding chiral (R)-aldimine (XIV), which is converted into the (S,R)-chiral secondary amine (S,R-XII) by a Grignard reaction with isobutyl bromide in THF. Finally, the 1(R)-phenylethyl group of (S,R-XII) is eliminated by hydrogenolysis as before to afford the previously obtained (S)-chiral amine (S-I).

参考文献No.483123
标题:Repaglinide and related hypoglycemic benzoic acid derivatives
作者:Grell, W.; Hurnaus, R.; Griss, G.; Sauter, R.; Rupprecht, E.; Mark, M.; Luger, P.; Nar, H.; Wittneben, H.; Muller, P.
来源:J Med Chem 1998,41(26),5219
合成路线图解说明:

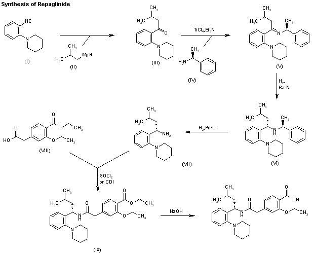
A new synthesis of repaglinide has been described: The reaction of 2-(1-piperidinyl)benzonitrile (I) with isobutylmagnesium bromide (II) in THF followed by hydrolysis with aqueous NH4Cl/NH3 gives 3-methyl-1-[2-(1-piperidinyl)phenyl]butanone (III), which is condensed with 1(S)-phenylethylamine (IV) by means of TiCl4/triethylamine in toluene yielding the imine (V). The hydrogenation of (V) with H2 over Raney Nickel in ethanol affords the chiral secondary amine (IV), which is further hydrogenated with H2 over Pd/C in ethanol/aqueous HCl giving 3-methyl-2(S)-[2-(1-piperidinyl)phenyl]butylamine (VII). The condensation of (VII) with 4-(carboxymethyl)-2-ethoxybenzoic acid ethyl ester (VIII) by means of SOCl2 or carbonyldiimidazole (CDI) or triphenylphosphine/CCl4/triethylamine gives the ethyl ester of repaglinide (IX), which is finally hydrolyzed with NaOH as usual.

合成路线图解说明:

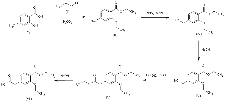
The reaction of 2-hydroxy-4-methylbenzoic acid (I) with ethyl bromide (II) and K2CO3 in acetone at 150 C gives 2-ethoxy-4-methylbenzoic acid ethyl ester (III), which is brominated with Br2 and AIBN in CCl4 to yield the bromomethyl derivative (IV). The reaction of (IV) with NaCN and benzyl-tributylammonium chloride affords the cyanomethyl compound (V), which is hydrolyzed with HCl (g) in refluxing ethanol to provide 2-ethoxy-4-(ethoxycarbonylmethyl)benzoic acid ethyl ester (VI). Finally, this compound is selectively hydrolyzed with 2N NaOH in ethanol to furnish the target intermediate, the 2-[3-ethoxy-4-(ethoxycarbonyl)phenyl]acetic acid (VII).

参考文献No.671948
标题:An efficient and cost-effective synthesis of 3-ethoxy-4-ethoxycarbonyl-phenylacetic acid: A key acid synthon of repaglinide
作者:Salman, M.; et al.
来源:Org Process Res Dev 2002,6(2),184
合成路线图解说明:

The reaction of 2-hydroxy-4-methylbenzoic acid (I) with ethyl bromide (II) and K2CO3 in acetone at 150 C gives 2-ethoxy-4-methylbenzoic acid ethyl ester (III), which is brominated with Br2 and AIBN in CCl4 to yield the bromomethyl derivative (IV). The reaction of (IV) with NaCN and benzyl-tributylammonium chloride affords the cyanomethyl compound (V), which is hydrolyzed with HCl (g) in refluxing ethanol to provide 2-ethoxy-4-(ethoxycarbonylmethyl)benzoic acid ethyl ester (VI). Finally, this compound is selectively hydrolyzed with 2N NaOH in ethanol to furnish the target intermediate, the 2-[3-ethoxy-4-(ethoxycarbonyl)phenyl]acetic acid (VII).

合成路线图解说明:

The reaction of 2-hydroxy-4-methylbenzoic acid (I) with ethyl bromide (II) and K2CO3 in DMSO gives 2-ethoxy-4-methylbenzoic acid ethyl ester (III), which is carboxylated by reaction with LDA and CO2 in THF/1,3-dimethylperhydropyrimidin-2-one to furnish the target intermediate the 2-[3-ethoxy-4-(ethoxycarbonyl)phenyl]acetic acid (IV).

Drug Information Express,Drug R&D,Chemical Database,Patent Search.
Copyright © 2006-2026 Drug Future. All rights reserved.Contact Us