【药物名称】BOF-12013
化学结构式(Chemical Structure):
参考文献No.418655
标题:Synthesis and structure-activity relationships of cephalosporins, 2-isocephems, and 2-oxaisocephems with C-3' or C-7 catechol or related aromatics
作者:Tsuji, K.; Tsubouchi, H.; Yasumura, K.; Matsumoto, M.; Ishikawa, H.
来源:Bioorg Med Chem 1996,4(12),2135
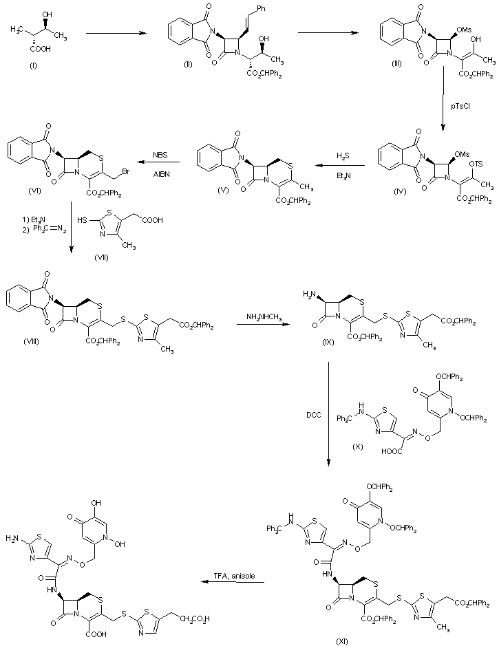
合成路线图解说明:

The D-threonine (I) is converted into the azetidinone (II), and into the enol (III) according to (Tsubouchi, H., et al. Tetrahedron Assimetry, 1944, 5: 441). The tosylation of (III) with tosyl chloride and N-methylpyrrolidine yielded the tosylated enol (IV), which was cyclized with H2S and triethylamine to the isocephem derivative (V). The chlorination of (V) with N-bromosuccinimide (NBS) and AIBN affords the bromomethyl derivative (VI), which is treated with 2-(4-methyl-2-sulfanylthiazol-5-yl)acetic acid (VII) and triethylamine or NaHCO3 and then esterified with diphenyldiazomethane to give the expected condensation product (VIII). The reaction of (VIII) with methylhydrazine cleaves the phthalimide group affording (IX), which is then amidated wih the acetic acid derivative (X) by means of dicyclohexylcarbodiimide (DCC) givig the fully protected final product (XI). Finally, this compound is treated with trifluoroacetic acid to eliminate the diphenyl nad triphenyl protecting groups.

Drug Information Express,Drug R&D,Chemical Database,Patent Search.
Copyright © 2006-2026 Drug Future. All rights reserved.Contact Us