【药物名称】Teriflunomide, HMR-1726, 1726, A-771726, RS-61980, SU-0020
化学结构式(Chemical Structure):
参考文献No.16360
标题:Isoxazole-4-carboxamides and hydroxyalkylidene-cyanoacetamides, drugs containing these cpds. and use of such drugs
作者:Bartlett, R.R.; K鋗merer, F.-J. (Aventis SA)
来源:EP 0527736; JP 1993506425; JP 1999322700; JP 1999343285; US 5494911; US 5532259; WO 9117748
合成路线图解说明:

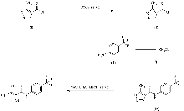
5-Methylisoxazole-4-carboxylic acid (I) was converted to the corresponding acid chloride (II) upon refluxing with SOCl2. Coupling of acid chloride (II) with 4-(trifluoromethyl)aniline (III) produced anilide (IV). Finally, isoxazole ring opening in the presence of NaOH gave rise to the title cyano amide.

参考文献No.25342
标题:Immunosuppressive agents
作者:Coghlan, M.J.; Luly, J.R.; Wiedeman, P.E. (Abbott Laboratories Inc.)
来源:WO 9424095
合成路线图解说明:

5-Methylisoxazole-4-carboxylic acid (I) was converted to the corresponding acid chloride (II) upon refluxing with SOCl2. Coupling of acid chloride (II) with 4-(trifluoromethyl)aniline (III) produced anilide (IV). Finally, isoxazole ring opening in the presence of NaOH gave rise to the title cyano amide.

Drug Information Express,Drug R&D,Chemical Database,Patent Search.
Copyright © 2006-2026 Drug Future. All rights reserved.Contact Us