【药物名称】3-Isobutyl-GABA
化学结构式(Chemical Structure):
参考文献No.472260
标题:General synthesis of 3-substituted alkenyl GABA as potential anticonvulsants
作者:Serfass, L.; Casara, P.J.
来源:Bioorg Med Chem Lett 1998,8(18),2599
合成路线图解说明:

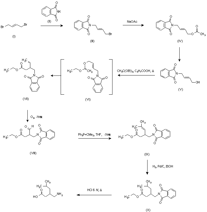
Substitution on dibromobutene (I) by potassium phthalimide (II) provided bromobutenyl phthalimide (III). Further treatment with sodium acetate afforded acetate (IV) which, after hydrolysis, gave phthalimidobutenol (V). Reaction with refluxing ethyl orthoacetate in the presence of a trace of butyric acid generated the intermediate ketene acetal (VI), which experienced a Claisen rearrangement to give pentenoate ester (VII). Ozonolysis of the olefinic double bond of (VII) yielded aldehyde (VIII). Then, Wittig reaction of aldehyde (VIII) with (isopropylidene)triphenylphosphorane in cold THF provided olefin (IX), which was hydrogenated in the presence of Pd/C to give the isobutyl compound (X). Finally, hydrolysis of both ester and phthalimide groups in refluxing 6 N HCl provided the GABA analogue.

Drug Information Express,Drug R&D,Chemical Database,Patent Search.
Copyright © 2006-2026 Drug Future. All rights reserved.Contact Us