【药物名称】DAU-6285
化学结构式(Chemical Structure):
参考文献No.129108
标题:Synthesis of a new class of 2,3-dihydro-2-oxo-1H-benzimidazole-1-carboxylic acid derivatives as highly potent 5-HT3 receptor antagonists
作者:Turconi, M.; Nicola, M.; Quintero, M.G.; Maiocchi, L.; Micheletti, R.; Giraldo, E.; Donetti, A.
来源:J Med Chem 1990,33(8),2101
合成路线图解说明:

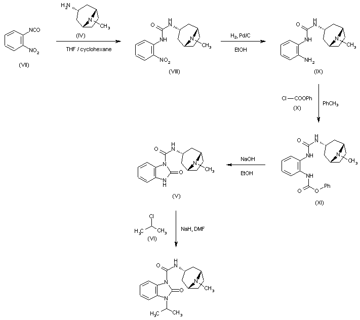
The condensation of 2-nitrophenyl isocyanate (V) with endo-8-methyl-8-azabicyclo[3,2,1]octan-3-amine (IV) in THF/cyclohexane gives the corresponding 2-nitrophenylurea (VI), which is reduced with H2 over Pd/C in ethanol to yield the 2-aminophenylurea (VII). The acylation of (VII) with phenyl chloroformate (VIII) in toluene affords the carbamate (IX), which is finally cyclized by means of NaOH in ethanol.

合成路线图解说明:

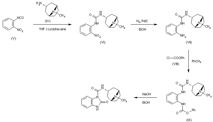
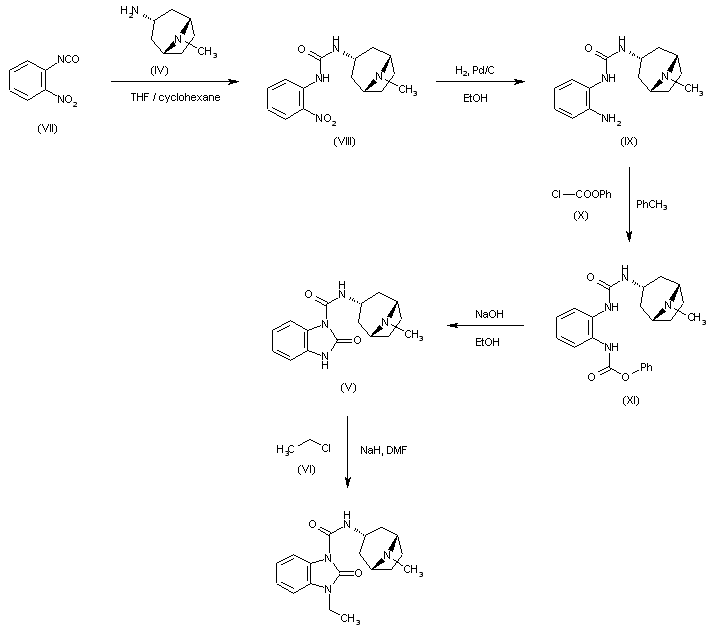
The condensation of 2-nitrophenyl isocyanate (VII) with endo-8-methyl-8-azabicyclo[3,2,1]octan-3-amine (IV) in THF/cyclohexane gives the corresponding 2-nitrophenylurea (VIII), which is reduced with H2 over Pd/C in ethanol to yield the 2-aminophenylurea (IX). The acylation of (IX) with phenyl chloroformate (X) in toluene affords the carbamate (XI), which is cyclized by means of NaOH in ethanol to afford the amide (V). Finally, this compound is alkylated with ethyl chloride (VI) and NaH in DMF.

合成路线图解说明:

The condensation of 2-nitrophenyl isocyanate (VII) with endo-8-methyl-8-azabicyclo[3,2,1]octan-3-amine (IV) in THF/cyclohexane gives the corresponding 2-nitrophenylurea (VIII), which is reduced with H2 over Pd/C in ethanol to yield the 2-aminophenylurea (IX). The acylation of (IX) with phenyl chloroformate (X) in toluene affords the carbamate (XI), which is cyclized by means of NaOH in ethanol to afford the amide (V). Finally, this compound is alkylated with isopropyl bromide (VI) and NaH in DMF.

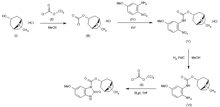
合成路线图解说明:

The esterification of endo-8-methyl-8-azabicyclo[3,2,1]octan-3-ol (I) with trichloromethyl chloroformate (II) in acetonitrile gives the corresponding chloroformate (III), which is condensed with 5-methoxy-2-nitroaniline (IV) in pyridine, yielding the carbamate (V). The hydrogenation of the nitro group of (V) with H2 over Pd/C in methanol affords the expected amino derivative (VI). Finally, this compound is cyclized with trichloromethyl chloroformate (II) and Et3N in THF.

参考文献No.167591
标题:Azabicycloalkyl benzimidazolones: Interaction with serotonergic 5-HT3 and 5-HT4 receptors and potential therapeutic implications
作者:Turconi, M.; Schiantarelli, P.; Borsini, F.; Rizzi, C.A.; Ladinsky, H.; Donetti, A.
来源:Drugs Fut 1991,16(11),1011
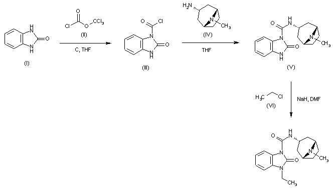
合成路线图解说明:

The reaction of 2,3-dihydro-1H-benzimidazol-2-one (I) with trichloromethyl chloroformate (II) in THF gives 2-oxo-2,3-dihydro-1H-benzimidazol-2-ylcarbonyl chloride (III), which is then condensed with endo-8-methyl-8-azabicyclo[3,2,1]octan-3-amine (IV) in THF.

合成路线图解说明:

The condensation of 2-nitrophenyl isocyanate (V) with endo-8-methyl-8-azabicyclo[3,2,1]octan-3-amine (IV) in THF/cyclohexane gives the corresponding 2-nitrophenylurea (VI), which is reduced with H2 over Pd/C in ethanol to yield the 2-aminophenylurea (VII). The acylation of (VII) with phenyl chloroformate (VIII) in toluene affords the carbamate (IX), which is finally cyclized by means of NaOH in ethanol.

合成路线图解说明:

This compound has been obtained by two different ways: 1. The reaction of 2,3-dihydro-1H-benzimidazol-2-one (I) with trichloromethyl chloroformate (II) in THF gives 2-oxo-2,3-dihydro-1H-benzimidazol-2-ylcarbonyl chloride (III), which is condensed with endo-8-methyl-8-azabicyclo[3,2,1]octan-3-amine (IV) in THF, yielding the corresponding amide (V). Finally, this compound is alkylated with ethyl chloride (VI) and NaH in DMF. 2. The condensation of 2-nitrophenyl isocyanate (VII) with endo-8-methyl-8-azabicyclo[3,2,1]octan-3-amine (IV) in THF/cyclohexane gives the corresponding 2-nitrophenylurea (VIII), which is reduced with H2 over Pd/C in ethanol to yield the 2-aminophenylurea (IX). The acylation of (IX) with phenyl chloroformate (X) in toluene affords the carbamate (XI), which is cyclized by means of NaOH in ethanol to afford the amide (V). Finally, this compound is alkylated with ethyl chloride (VI) and NaH in DMF.

合成路线图解说明:

The condensation of 2-nitrophenyl isocyanate (VII) with endo-8-methyl-8-azabicyclo[3,2,1]octan-3-amine (IV) in THF/cyclohexane gives the corresponding 2-nitrophenylurea (VIII), which is reduced with H2 over Pd/C in ethanol to yield the 2-aminophenylurea (IX). The acylation of (IX) with phenyl chloroformate (X) in toluene affords the carbamate (XI), which is cyclized by means of NaOH in ethanol to afford the amide (V). Finally, this compound is alkylated with ethyl chloride (VI) and NaH in DMF.

合成路线图解说明:

The reaction of 2,3-dihydro-1H-benzimidazol-2-one (I) with trichloromethyl chloroformate (II) in THF gives 2-oxo-2,3-dihydro-1H-benzimidazol-2-ylcarbonyl chloride (III), which is condensed with endo-8-methyl-8-azabicyclo[3,2,1]octan-3-amine (IV) in THF, yielding the corresponding amide (V). Finally, this compound is alkylated with isopropyl bromide (VI) and NaH in DMF.

合成路线图解说明:

The condensation of 2-nitrophenyl isocyanate (VII) with endo-8-methyl-8-azabicyclo[3,2,1]octan-3-amine (IV) in THF/cyclohexane gives the corresponding 2-nitrophenylurea (VIII), which is reduced with H2 over Pd/C in ethanol to yield the 2-aminophenylurea (IX). The acylation of (IX) with phenyl chloroformate (X) in toluene affords the carbamate (XI), which is cyclized by means of NaOH in ethanol to afford the amide (V). Finally, this compound is alkylated with isopropyl bromide (VI) and NaH in DMF.

合成路线图解说明:

The esterification of endo-8-methyl-8-azabicyclo[3,2,1]octan-3-ol (I) with trichloromethyl chloroformate (II) in acetonitrile gives the corresponding chloroformate (III), which is condensed with 5-methoxy-2-nitroaniline (IV) in pyridine, yielding the carbamate (V). The hydrogenation of the nitro group of (V) with H2 over Pd/C in methanol affords the expected amino derivative (VI). Finally, this compound is cyclized with trichloromethyl chloroformate (II) and Et3N in THF.

Drug Information Express,Drug R&D,Chemical Database,Patent Search.
Copyright © 2006-2026 Drug Future. All rights reserved.Contact Us