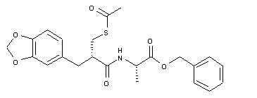
【药物名称】Fasidotril, Alatriopril, Aladotril, BP1.137
化学结构式(Chemical Structure):
参考文献No.14465
标题:Amino acid derivs., method for their preparation and their therapeutic application
作者:Plaquevent, J.-C.; Danvy, D.; Monteil, T.; Greciet, H.; Duhamel, L.; Duhamel, P.; Gros, C.; Schwartz, J.-C.; Lecomte, J.-M. (Societe Civile Bioprojet)
来源:EP 0419327; FR 2652087; WO 9104246
合成路线图解说明:

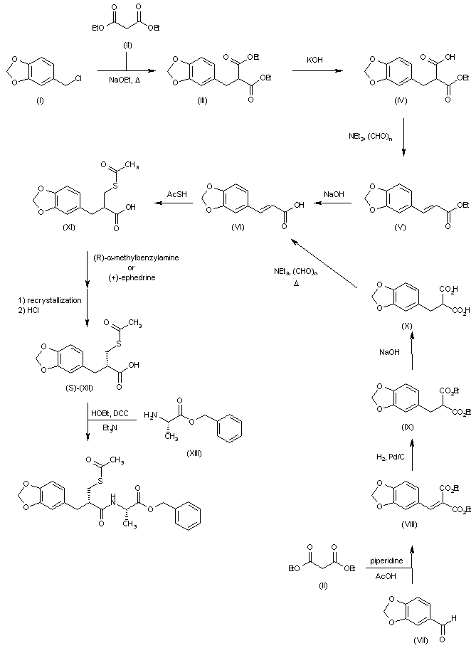
Condensation of piperonyl chloride (I) with diethyl malonate (II) by means of Na in anhydrous refluxing EtOH (NaOEt) provides 2-[3,4-(methylenedioxy)benzyl]malonic acid diethyl ester (III), which is converted into the monoethyl ester (IV) by saponification with KOH in EtOH. Treatment of (IV) with diethylamine in paraformaldehyde/H2O affords acrylic ester (V), which is then subjected to saponification with NaOH in acetone/H2O to provide [3,4-(methylenedioxy)benzyl]-2-propenoic acid (VI). Alternatively, derivative (VI) can also be obtained by following this route: treatment of piperonal (VII) with diethyl malonate (II) in refluxing toluene in the presence of piperidine and acetic acid provides diethyl piperonylidene malonate (VIII), which is then hydrogenated over Pd/C to furnish diethyl piperonylmalonate (IX). Saponification of the ethyl ester moiety of (IX) by refluxing with NaOH in H2O affords piperonylmalonic acid (X), which is finally converted into intermediate (VI) by decarboxylation by treatment with diethylamine in refluxing paraformaldehyde. Reaction of (VI) with thioacetic acid at 70 C affords a racemic mixture of propionic acid derivatives (XI), which is resolved by first formation of a chiral salt (either by reaction with (R)-alpha-methylbenzylamine or by reaction with (+)-ephedrine in ether), recrystallization of the corresponding diastereomer and finally liberation of the 2-(S)-(acetylthiomethyl)-3-[3,4-(methylenedioxy)benzyl]propionic acid [(S)-(XII)] by hydrolysis with HCl in H2O/CH2Cl2. Finally, fasidotril is obtained by condensation of (S)-(XII) with benzyl alaninate (XIII) by means of HOBt and DCC in THF/CHCl3 in the presence of Et3N.

参考文献No.52445
标题:Process for the synthesis of alpha-substd. acrylic acids and their application
作者:Lecomte, J.-M.; Duhamel, P.; Danvy, D.; Schwartz, J.-C.; Duhamel, L.; Monteil, T. (Societe Civile Bioprojet)
来源:EP 0729936
合成路线图解说明:

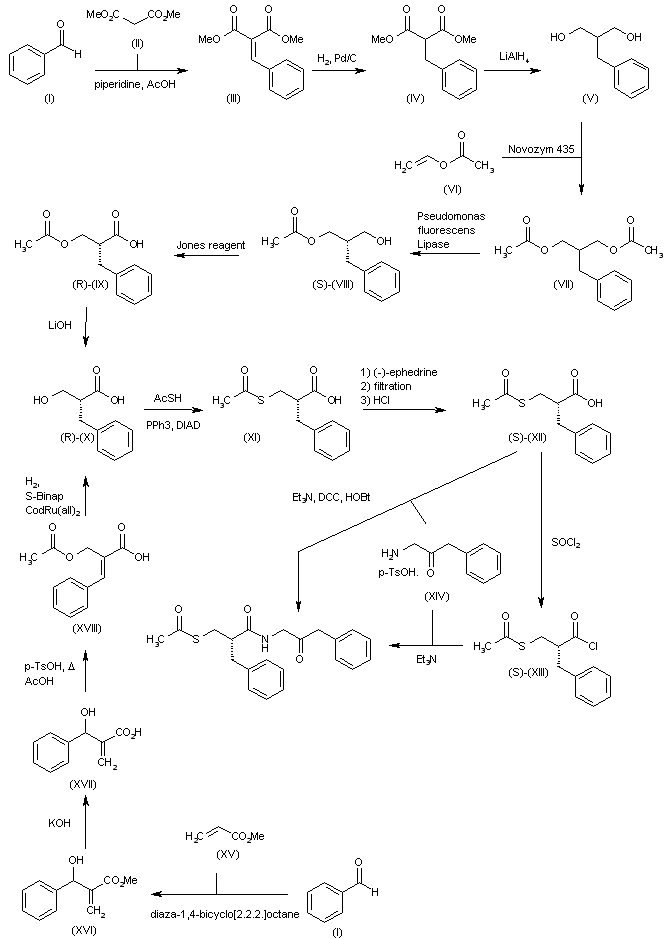
Reaction of benzaldehyde (I) with dimethyl malonate (II) in refluxing toluene in the presence of piperidine and HOAc provides dimethyl benzylidene malonate (III), which is then hydrogenated over Pd/C to afford dimethyl benzyl malonate (IV). Reduction of (IV) with LiAlH4 in refluxing THF furnishes 2-benzyl-1,3-propanediol (V), which is then subjected to reaction with vinyl acetate (VI) by means of Novozym 435 enzyme to yield diacetate (VII). Enantioselective removal of one acetyl group from (VII) by treatment with Pseudomonas fluorescens Lipase in acetone/phosphate buffer (pH = 7) at 30 C gives 3-acetoxy-2(S)-benzyl-propanol (S)-(VIII), which is then oxidized by means of Jones reagent in acetone/isopropanol to provide carboxylic acid (R)-(IX). The hydrolysis of (IX) with LiOH in THF/H2O gives 2(R)-benzyl-3-hydroxypropanoic acid (R)-(X). Alternatively, intermediate (X) can also be synthesized as follows: Condensation of benzaldehyde (I) with methyl acrylate (XV) by means of diaza-1,4-bicyclo[2.2.2.]octane affords methyl beta-hydroxy-alpha-methylene-benzenepropanoate (XVI), which is then subjected to hydrolysis with KOH in MeOH/H2O to yield carboxylic acid (XVII). Treatment of (XVII) with p-toluenesulfonic acid in refluxing HOAc gives (E)-2-(acetoxymethyl)-3-phenylpropionic acid (XVIII), which is finally converted into (X) by enantioselective hydrogenation in the presence of S-Binap and ruthenium catalyst [CodRu(all)2]. Derivative (R)-(X) is then converted into 3-(acetylsulfanyl)-2(S)-benzylpropionic acid (XI) by means of a Mitsunobu reaction with thioacetic acid, diisopropyl azodicarboxylate (DIAD) and triphenylphosphine (PPh3). Compound (XI) is then subjected to optical purification by formation and isolation of the corresponding salt with (-)-ephedrine and subsequent hydrolysis with HCl to furnish enantiomerically pure (S)-(XII). Finally, carboxylic acid (S)-(XII) is converted into ecadotril by its coupling with benzyl glycinate (XIV), either by means of Et3N, DCC and HOBt in CHCl3, or by first reaction with thionyl chloride to give acid chloride (S)-(XIII) and subsequent coupling with glycinate (XIV) by means of Et3N in CH2Cl2.

合成路线图解说明:

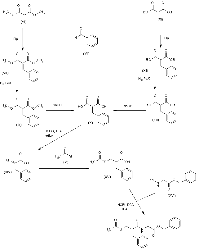
Alternatively, the condensation of dimethyl malonate (VI) with benzaldehyde (VII) by means of piperidine in refluxing toluene gives dimethyl benzylidenemalonate (VIII), which is reduced with H2 over Pd/C in toluene to yield the corresponding benzyl derivative (IX). The hydrolysis of (IX) with NaOH in water affords the benzylmalonic acid (X). Alternatively, intermediate (X) can also be obtained starting from diethyl malonate (XI), which is condensed with with benzaldehyde (VII) by means of piperidine in refluxing toluene to give diethyl benzylidenemalonate (XII). Reduction of (XII) with H2 over Pd/C in toluene yields the corresponding benzyl derivative (XIII), which is then hydrolized with NaOH in water. The monodecarboxylation of (X) and its condensation with paraformaldehyde and diethylamine in refluxing ethyl acetate provides 2-benzylacrylic acid (XIV), which is condensed with thioacetic acid (V) by heating at 70 C to afford 2-(acetylsulfanylmethyl)-3-phenylpropionic acid (XV). Finally, this compound is condensed with N-tosylglycine benzyl ester (XVI) by means of HOBt, DCC and TEA in THF.

合成路线图解说明:

Condensation of piperonyl chloride (I) with diethyl malonate (II) by means of Na in anhydrous refluxing EtOH (NaOEt) provides 2-[3,4-(methylenedioxy)benzyl]malonic acid diethyl ester (III), which is converted into the monoethyl ester (IV) by saponification with KOH in EtOH. Treatment of (IV) with diethylamine in paraformaldehyde/H2O affords acrylic ester (V), which is then subjected to saponification with NaOH in acetone/H2O to provide [3,4-(methylenedioxy)benzyl]-2-propenoic acid (VI). Alternatively, derivative (VI) can also be obtained by following this route: treatment of piperonal (VII) with diethyl malonate (II) in refluxing toluene in the presence of piperidine and acetic acid provides diethyl piperonylidene malonate (VIII), which is then hydrogenated over Pd/C to furnish diethyl piperonylmalonate (IX). Saponification of the ethyl ester moiety of (IX) by refluxing with NaOH in H2O affords piperonylmalonic acid (X), which is finally converted into intermediate (VI) by decarboxylation by treatment with diethylamine in refluxing paraformaldehyde. Reaction of (VI) with thioacetic acid at 70 C affords a racemic mixture of propionic acid derivatives (XI), which is resolved by first formation of a chiral salt (either by reaction with (R)-alpha-methylbenzylamine or by reaction with (+)-ephedrine in ether), recrystallization of the corresponding diastereomer and finally liberation of the 2-(S)-(acetylthiomethyl)-3-[3,4-(methylenedioxy)benzyl]propionic acid [(S)-(XII)] by hydrolysis with HCl in H2O/CH2Cl2. Finally, fasidotril is obtained by condensation of (S)-(XII) with benzyl alaninate (XIII) by means of HOBt and DCC in THF/CHCl3 in the presence of Et3N.

Drug Information Express,Drug R&D,Chemical Database,Patent Search.
Copyright © 2006-2026 Drug Future. All rights reserved.Contact Us