【药物名称】N-0861
化学结构式(Chemical Structure):
参考文献No.208302
标题:N-0861
作者:Peck, J.V.; Cusack, N.J.
来源:Drugs Fut 1993,18(5),433
合成路线图解说明:

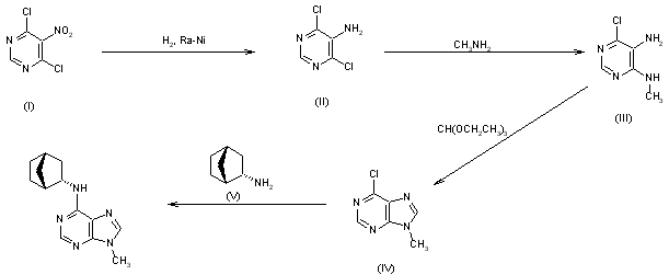
The overall synthetic approach to N-0861 is described in Scheme 17807901a: Reduction of 4,6-dichloro-5-nitropyrimidine (I) followed by reaction with methylamine gives 5-amino-6-chloro-4-methylaminopyrimidine (III). Cyclization with triethylorthoformate under acidic conditions results in 9-methyl-6-chloropurine (IV). Reaction of (?-endo-2-aminonorbornane (V) with 9-methyl-6-chloropurine (IV) provides N-0861.

参考文献No.604647
标题:Non-xanthine heterocycles: Activity as antagonists of A1- and A2-adenosine receptors
作者:Daly, J.; Hong, O.; Padgett, W.; Shamim, M.; Jacobson, K.; Ukena, D.
来源:Biochem Pharmacol 1988,37(4),655-54
合成路线图解说明:

The overall synthetic approach to N-0861 is described in Scheme 17807901a: Reduction of 4,6-dichloro-5-nitropyrimidine (I) followed by reaction with methylamine gives 5-amino-6-chloro-4-methylaminopyrimidine (III). Cyclization with triethylorthoformate under acidic conditions results in 9-methyl-6-chloropurine (IV). Reaction of (?-endo-2-aminonorbornane (V) with 9-methyl-6-chloropurine (IV) provides N-0861.

参考文献No.608341
标题:Adenosine receptors: Pharmacology, structure-activity relationships, and therapeutic potential
作者:Jacobson, K.; van Galen, P.; Williams, M.
来源:J Med Chem 1992,35(3),407-22
合成路线图解说明:

The overall synthetic approach to N-0861 is described in Scheme 17807901a: Reduction of 4,6-dichloro-5-nitropyrimidine (I) followed by reaction with methylamine gives 5-amino-6-chloro-4-methylaminopyrimidine (III). Cyclization with triethylorthoformate under acidic conditions results in 9-methyl-6-chloropurine (IV). Reaction of (?-endo-2-aminonorbornane (V) with 9-methyl-6-chloropurine (IV) provides N-0861.

Drug Information Express,Drug R&D,Chemical Database,Patent Search.
Copyright © 2006-2026 Drug Future. All rights reserved.Contact Us