【药物名称】Fulvestrant, ZD-9238, ZM-182780, ZD-182780, ICI-182780, Faslodex
化学结构式(Chemical Structure):
参考文献No.2125
标题:Steroid derivs.
作者:Bowler, J.; Tait, B.S. (AstraZeneca plc)
来源:EP 0138504; JP 1985097995; US 4659516
合成路线图解说明:

Protection of 9-bromononan-1-ol (I) with tert-butyldimethylsilyl chloride and imidazole in THF gives the silyl ether (II), which reacts with Mg in the same solvent to yield the Grignard reagent (III). Reaction of compound (III) with CuI affords the corresponding organocuprate that condenses with 6,7-didehydro-19-nortestosterone (IV) to provide the adduct (V). Cleavage of the silyl ether group of (V) with HOAc/water in THF gives alcohol (VI), which is esterified with Ac2O and pyridine, yielding the corresponding diacetate (VII). Aromatization of enone (VII) with CuBr2 and LiBr in refluxing acetonitrile affords phenol (VIII), which is selectively hydrolyzed with NaOH in methanol to provide the primary alcohol (IX). The selective esterification of the phenolic OH group of (IX) with benzoyl chloride and NaOH in acetone/water furnishes the aryl benzoate (X).

合成路线图解说明:

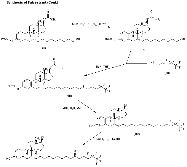
By reaction of primary OH group of (X) with mesyl chloride and TEA in dichloromethane gives the mesylate (XI). Compound (XI) is condensed with 4,4,5,5,5-pentafluoropentanethiol (XII) by means of NaH in THF to yield the thioether (XIII), which is submitted to basic hydrolysis of the ester groups by means of NaOH in MeOH/water to afford the corresponding dihydroxy compound (XIV). Finally, this compound is oxidized with sodium metaperiodate to provide fulvestrant.

参考文献No.634749
标题:Fulvestrant
作者:Casta馿r, J.; D'Souza, N.; Levin, M.
来源:Drugs Fut 2001,26(9),841
合成路线图解说明:

Protection of 9-bromononan-1-ol (I) with tert-butyldimethylsilyl chloride and imidazole in THF gives the silyl ether (II), which reacts with Mg in the same solvent to yield the Grignard reagent (III). Reaction of compound (III) with CuI affords the corresponding organocuprate that condenses with 6,7-didehydro-19-nortestosterone (IV) to provide the adduct (V). Cleavage of the silyl ether group of (V) with HOAc/water in THF gives alcohol (VI), which is esterified with Ac2O and pyridine, yielding the corresponding diacetate (VII). Aromatization of enone (VII) with CuBr2 and LiBr in refluxing acetonitrile affords phenol (VIII), which is selectively hydrolyzed with NaOH in methanol to provide the primary alcohol (IX). The selective esterification of the phenolic OH group of (IX) with benzoyl chloride and NaOH in acetone/water furnishes the aryl benzoate (X).

合成路线图解说明:

By reaction of primary OH group of (X) with mesyl chloride and TEA in dichloromethane gives the mesylate (XI). Compound (XI) is condensed with 4,4,5,5,5-pentafluoropentanethiol (XII) by means of NaH in THF to yield the thioether (XIII), which is submitted to basic hydrolysis of the ester groups by means of NaOH in MeOH/water to afford the corresponding dihydroxy compound (XIV). Finally, this compound is oxidized with sodium metaperiodate to provide fulvestrant.

Drug Information Express,Drug R&D,Chemical Database,Patent Search.
Copyright © 2006-2026 Drug Future. All rights reserved.Contact Us