【药物名称】BTA-243, CL-316243(former code)
化学结构式(Chemical Structure):
参考文献No.235296
标题:CL 316,243
作者:Bloom, J.D.; Claus, T.H.
来源:Drugs Fut 1994,19(1),23
合成路线图解说明:

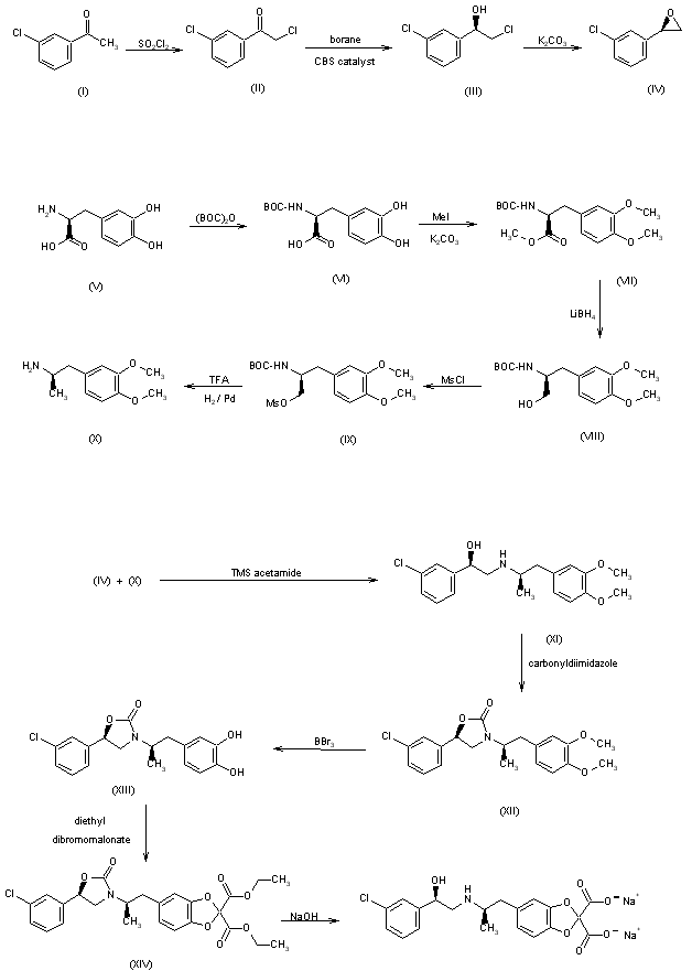
The chiral synthesis of CL 316,243 is described: The chiral epoxide (IV) was prepared in a three-step procedure starting from 3-chloroacetophenone. Monochlorination followed by asymmetric reduction gave the chiral chlorohydrin (III), which was treated with base to give the epoxide. The chiral amine was prepared in a six step sequence starting from L-DOPA. Protection of the amine followed by permethylation and ester reduction gave the alcohol (VIII). Conversion to the mesylate followed by catalytic hydrogenation gave enantiomerically pure amine (X). Reaction of the epoxide (IV) with the amine (X) gave the phenethanolamine (XI). Protection as the oxazolidinone (XII) followed by demethylation and subsequent malonation with diethyl dibromomalonate yielded the protected diester (XIV). Basic hydrolysis followed by reverse phase chromatography gave CL 316,243.

Drug Information Express,Drug R&D,Chemical Database,Patent Search.
Copyright © 2006-2026 Drug Future. All rights reserved.Contact Us