【药物名称】Olanzapine, LY-170053, Zyprexa Zydis, Zyprexa Velotab, Midax, Olansek, Zyprexa, Lanzac
化学结构式(Chemical Structure):
参考文献No.62073
标题:Intermediates and process for preparing olanzapine
作者:Larsen, S.D.; Stephenson, G.A.; Bunnell, C.A.; Reutzel, S.M.; Nichols, J.R. (Eli Lilly and Company)
来源:US 6020487
合成路线图解说明:

The reduction of N-benzyloxycarbonylprolinamide (I) with H2 over Pd/c in methanol gives prolinamide (II), which is condensed with N-benzyloxycarbonylhistidyl hydrazide (III) by means of NaNO2 - HCl in ethyl acetate yielding N-benzyloxycarbonylhistidylprolinamide (IV), The hydrolysis of (IV) with HBr in acetic acid affords histidylprolinamide (V), which is finally condensed with gamma-carboxy-gamma-butyrolactone (VI) by means of pentachlorophenol and dicyclohexylcarbodiimide in DMF. Compound (VI) is prepared by reaction of alpha-aminoglutaric acid (VII) with NaNO2 and 2N H2SO4 in water.

合成路线图解说明:

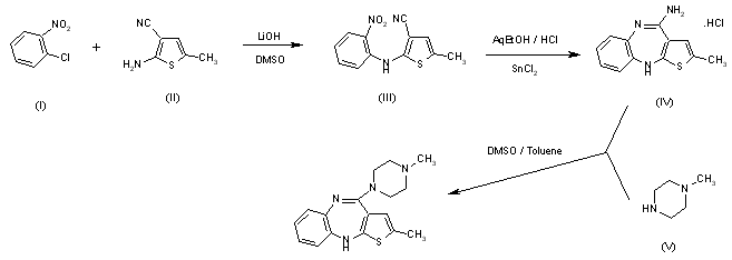
The condensation of o-chloronitrobenzene (I) with 2-amino-5-methylthiophene-3-carbonitrile (II) by means of lithium hydroxide in DMSO gives 2-(2-nitroanilino)-5-methylthiophene-3-carbonitrile (III). The reductive cyclization of (III) using stannous chloride in aqueous ethanolic hydrochloric acid gives the primary amidine hydrochloride (IV), which is condensed with N-methylpiperazine (V) in a mixture of 4:1 toluene:DMSO.

参考文献No.235616
标题:Olanzapine
作者:Moore, N.A.; Hotten, T.M.; Tupper, D.E.
来源:Drugs Fut 1994,19(2),114
合成路线图解说明:

The condensation of o-chloronitrobenzene (I) with 2-amino-5-methylthiophene-3-carbonitrile (II) by means of lithium hydroxide in DMSO gives 2-(2-nitroanilino)-5-methylthiophene-3-carbonitrile (III). The reductive cyclization of (III) using stannous chloride in aqueous ethanolic hydrochloric acid gives the primary amidine hydrochloride (IV), which is condensed with N-methylpiperazine (V) in a mixture of 4:1 toluene:DMSO.

参考文献No.392862
标题:The synthesis and biological activity of some known and putative metabolites of the atypical antipsychotic agent olanzapine (LY170053)
作者:Calligaro, D.O.; Moore, N.A.; Tupper, D.E.; Fairhurst, J.; Hotten, T.M.
来源:Bioorg Med Chem Lett 1997,7(1),25
合成路线图解说明:

The synthesis of some metabolites of olanzapine have been described: 1) Synthesis of 4'-N-desmethyl olanzapine: The condensation of 2-fluoronitrobenzene (I) with 5-methylthiophene-2-amine (II) by means of LiOH in DMSO gives the expected secondary amine (III), which is cyclized by means of SnCl2 in ethanol yielding 2-methyl-10H-thieno[2,3-b][1,5]benzodiazepine-4-amine (IV). Finally, this compound is condensed with piperazine (V) in toluene/DMSO affording the metabolite 2-methyl-4-(1-piperazinyl)-10H-thieno[2,3-b][1,5]benzodiazepine.

合成路线图解说明:

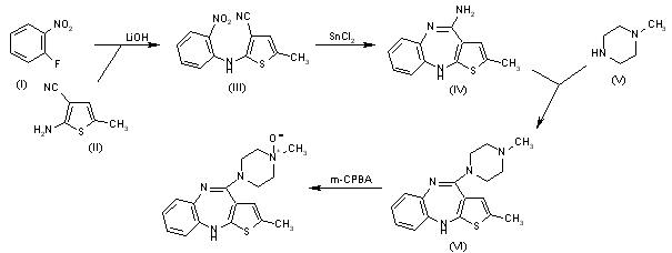
2) Synthesis of olanzapine 4'-N-oxide: The condensation of 2-fluoronitrobenzene (I) with 5-methylthiophene-2-amine (II) by means of LiOH in DMSO gives the expected secondary amine (III), which is cyclized by means of SnCl2 in ethanol yielding 2-methyl-10H-thieno[2,3-b][1,5]benzodiazepine-4-amine (IV). The condensation of (IV) with N-methylpiperazine (V) in toluene/DMSO affords 2-methyl-4-(4-methyl-1-piperazinyl)-10H-thieno[2,3-b][1,5]benzodiazepin e (olanzapine) (VI), which is finally oxidized with m-chloroperbenzoic acid (m-CPBA) in dichloromethane to give the metabolite 2-methyl-4-(4-methyl-4-oxidopiperazinyl-1-yl)-10H-thieno[2,3-b][1,5]benzodiazepine.

合成路线图解说明:

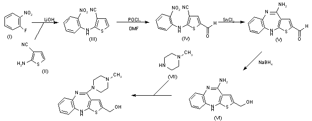
3) Synthesis of 2-hydroxymethyl olanzapine: The condensation of 2-fluoronitrobenzene (I) with thiophene-2-amine (II) by means of LiOH in DMSO gives the expected secondary amine (III), which is formylated with DMF by means of POCl3 yielding the aldehyde (IV). The reducticyclization of (IV) with SnCl2 in ethanol affords 4-amino-10H-thieno[2,3-b][1,5]benzodiazepine-2-carbaldehyde (V), which is reduced with NaBH4 in ethanol to the corresponding hydroxymethyl derivative (VI). Finally, this compound is condensed with N-methylpiperazine (VII) in toluene/DMSO to give the metabolite 2-(hydroxymethyl)-4-(4-methyl-1-piperazinyl)-10H-thieno[2,3-b][1,5]benz odiazepine.

Drug Information Express,Drug R&D,Chemical Database,Patent Search.
Copyright © 2006-2026 Drug Future. All rights reserved.Contact Us