【药物名称】F-1394
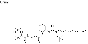
化学结构式(Chemical Structure):
参考文献No.14527
标题:Pantothenic acid derivs
作者:Ikawa, H.; Matsumoto, H.; Kobayashi, N.; Kusunoki, J. (UCB Japan)
来源:EP 0421441; JP 1991218340; JP 1991218350; JP 1991218366; US 5120738
合成路线图解说明:

By esterification of the acetonide of pantothenic acid (I) with (1S,2S)-2-[3-(2,2-dimethylpropyl)-3-nonylureido]-cyclohexanol (II) by means of dimethylaminopyridine (DMAP) and tosyl chloride in ethyl acetate (1) or DMAP and dicyclohexylcarbodiimide (DCC) in refluxing toluene (2). The starting compounds (I) and (II) have been prepared as follows: 1) The cyclization of pantothenic acid calcium salt (III) with 2,2-dimethoxypropane (IV) by means of oxalic acid and p-toluenesulfonic acid in refluxing acetones gives the acetonide (I). 2) The condensation of the carbamate (V) with the secondary amine (VI) by heating at 120 C yields the urea derivative (II).

参考文献No.36773
标题:Methods of producing pantothenic acid deriv. and its starting materials for producing the same
作者:Ikawa, H.; Matsumoto, H. (UCB Japan)
来源:EP 0612740
合成路线图解说明:

By esterification of the acetonide of pantothenic acid (I) with (1S,2S)-2-[3-(2,2-dimethylpropyl)-3-nonylureido]-cyclohexanol (II) by means of dimethylaminopyridine (DMAP) and tosyl chloride in ethyl acetate (1) or DMAP and dicyclohexylcarbodiimide (DCC) in refluxing toluene (2). The starting compounds (I) and (II) have been prepared as follows: 1) The cyclization of pantothenic acid calcium salt (III) with 2,2-dimethoxypropane (IV) by means of oxalic acid and p-toluenesulfonic acid in refluxing acetones gives the acetonide (I). 2) The condensation of the carbamate (V) with the secondary amine (VI) by heating at 120 C yields the urea derivative (II).

Drug Information Express,Drug R&D,Chemical Database,Patent Search.
Copyright © 2006-2026 Drug Future. All rights reserved.Contact Us