【药物名称】L-695256
化学结构式(Chemical Structure):
参考文献No.15934
标题:2-(9-Fluorenonyl)-carbapenem antibacterial agents
作者:Greenlee, M.L.; Dininno, F.P.; Cama, L.D.; Heck, J.V. (Merck & Co., Inc.)
来源:EP 0472306; JP 1993105679; US 5034384
合成路线图解说明:

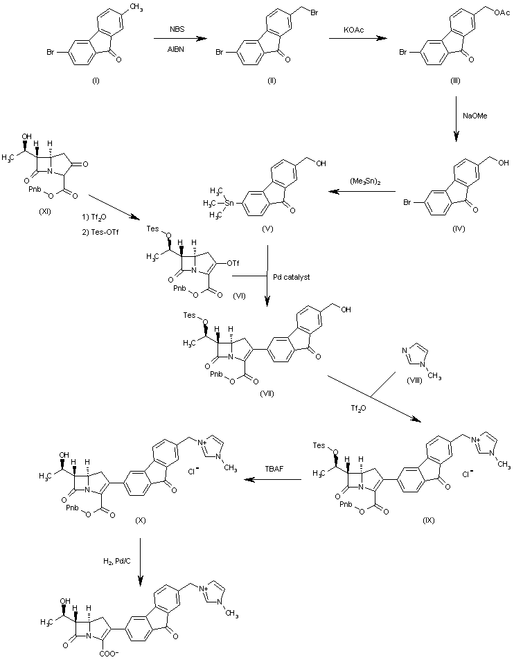
The bromination of 6-bromo-2-methylfluoren-9-one (I) with NBS and AIBN in refluxing CCl4 gives the 2-bromomethyl compound (II), which is treated with potassium acetate in DMF to afford the acetoxymethyl derivative (III). The hydrolysis of (III) with NaOMe in methanol provides the hydroxymethyl compound (IV), which is treated with hexamethyldistannane and Pd(PPh3)4 in refluxing toluene to give the trimethylstannyl derivative (V). The condensation of (V) with the carbapenem triflate (VI) by means of a Pd catalyst in THF yields the adduct (VII), which is condensed with 1-methylimidazole by means of Tf2O in dichloromethane affording the imidazolium derivative (IX). The desilylation of (IX) with TBAF in THF gives the 1-hydroxyethyl derivative (X), which is finally treated with H2 over Pd/C in THF/ethanol/water to obtain the target compound as an inner salt. The intermediate carbapenem triflate (VI) has been obtained by reaction of 2-oxocarbapenam (XI) with Tf2O, followed by silylation with Tes-OTf.

参考文献No.24841
标题:2-(9-Fluorenonyl)-carbapenem intermediates
作者:Greenlee, M.L.; Dininno, F.P.; Cama, L.D.; Heck, J.V. (Merck & Co., Inc.)
来源:US 5356889
合成路线图解说明:

The bromination of 6-bromo-2-methylfluoren-9-one (I) with NBS and AIBN in refluxing CCl4 gives the 2-bromomethyl compound (II), which is treated with potassium acetate in DMF to afford the acetoxymethyl derivative (III). The hydrolysis of (III) with NaOMe in methanol provides the hydroxymethyl compound (IV), which is treated with hexamethyldistannane and Pd(PPh3)4 in refluxing toluene to give the trimethylstannyl derivative (V). The condensation of (V) with the carbapenem triflate (VI) by means of a Pd catalyst in THF yields the adduct (VII), which is condensed with 1-methylimidazole by means of Tf2O in dichloromethane affording the imidazolium derivative (IX). The desilylation of (IX) with TBAF in THF gives the 1-hydroxyethyl derivative (X), which is finally treated with H2 over Pd/C in THF/ethanol/water to obtain the target compound as an inner salt. The intermediate carbapenem triflate (VI) has been obtained by reaction of 2-oxocarbapenam (XI) with Tf2O, followed by silylation with Tes-OTf.

Drug Information Express,Drug R&D,Chemical Database,Patent Search.
Copyright © 2006-2026 Drug Future. All rights reserved.Contact Us