【药物名称】KSG-504
化学结构式(Chemical Structure):
参考文献No.15144
标题:Napthylsulfonylalkanoic acid cpds
作者:Kitazawa, M.; Akahane, M.; Nakano, Y.; Tsubaki, A.; Sato, K.; Ban, M.; Kobayashi, M. (Kissei Pharmaceutical Co., Ltd.)
来源:EP 0433064; JP 1991193756; JP 1991197453; JP 1992210956; US 5177069
合成路线图解说明:

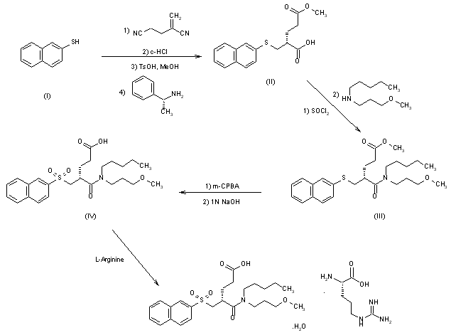
The reaction of 2-naphthalenethiol (I) with 2-methyleneglutaronitrile (II) followed by treatment first with concentrated hydrochloric acid and then with p-toluenesulfonic acid in methanol gives racemic acid, which is resolved into optically pure (R)-4-methoxycarbonyl-2-(2-naphthylthiomethyl)butyric acid (IV) by use of (R)-(+)-alpha-methylbenzylamine (III). The treatment of compound (IV), first with thionyl chloride and then with N-(3-methoxypropyl)-N-pentylamine (V), affords (R)-methyl 4-[N-(3-methoxypropyl)-N-pentylcarbamoyl]-5-(2-naphthylthio)pentanoate (VI). Oxidation of compound (VI) with m-chloroperbenzoic acid followed by treatment with 1N sodium hydroxide gives (R)-4-[N-(3-methoxypropyl)-N-pentylcarbamoyl]-5-(2-naphthylsulfonyl) pentanoic acid (VII), which is finally converted into KSG-504 by treatment with L-arginine.

参考文献No.298957
标题:KSG-504
作者:Kitazawa, M.; Akahane, M.; Yamazaki, Y.; Kobayashi, M.
来源:Drugs Fut 1995,20(5),472
合成路线图解说明:

The reaction of 2-naphthalenethiol (I) with 2-methyleneglutaronitrile (II) followed by treatment first with concentrated hydrochloric acid and then with p-toluenesulfonic acid in methanol gives racemic acid, which is resolved into optically pure (R)-4-methoxycarbonyl-2-(2-naphthylthiomethyl)butyric acid (IV) by use of (R)-(+)-alpha-methylbenzylamine (III). The treatment of compound (IV), first with thionyl chloride and then with N-(3-methoxypropyl)-N-pentylamine (V), affords (R)-methyl 4-[N-(3-methoxypropyl)-N-pentylcarbamoyl]-5-(2-naphthylthio)pentanoate (VI). Oxidation of compound (VI) with m-chloroperbenzoic acid followed by treatment with 1N sodium hydroxide gives (R)-4-[N-(3-methoxypropyl)-N-pentylcarbamoyl]-5-(2-naphthylsulfonyl) pentanoic acid (VII), which is finally converted into KSG-504 by treatment with L-arginine.

Drug Information Express,Drug R&D,Chemical Database,Patent Search.
Copyright © 2006-2026 Drug Future. All rights reserved.Contact Us