【药物名称】A-70826
化学结构式(Chemical Structure):
参考文献No.160487
标题:Synthesis and biological properties of A-70826: A prodrug of tosufloxacin
作者:Chu, D.T.W.; Pernet, A.G.; Plattner, J.J.; Hallas, R.; Shipkowitz, N.; Marsh, K.C.
来源:31st Intersci Conf Antimicrob Agents Chemother (Sept 29-Oct 2, Chicago) 1991,Abst 1440
合成路线图解说明:

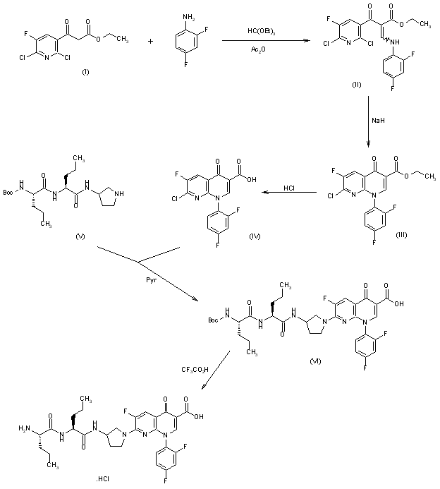
Treatment of ethyl 2,6-dichloro-5-fluoronicotinylacetate (I) with ethyl orthoformate in refluxing acetic anhydride and then with 2,4-difluoroaniline in methylene chloride at room temperature gives the enaminoketo ester derivative (II). Cyclization of (II) with sodium hydride in THF gives ethyl 7-chloro-1-(2,4-difluorophenyl)-6-fluoro-4-oxo-1,4-dihydro-1,8-naphthyridine-3-carboxylate (III). Hydrolysis of (III) with hydrochloric acid yields 7-chloro-1-(2,4-difluorophenyl)-6-fluoro-4-oxo-1,4-dihydro-1,8-naphthyridine-3-carboxylic acid (IV). Condensation of (IV) with 3-tert-butoxycarbonyl-L-norvalyl-L-norvalylaminopyrrolidine (V) in pyridine yields 7-(3-tert-butoxycarbonyl-L-norvalyl-L-norvalylaminopyrrolidin-1-yl)- 1-(2,4-difluorophenyl)-6-fluoro-4-oxo-1,4-dihydro-1,8-naphthyridine-3-carboxylic acid (VI). Hydrolysis of (VI) in trifluoroacetic acid gives A-70826.

参考文献No.166749
标题:A-70826
作者:Chu, D.T.W.
来源:Drugs Fut 1992,17(3),179
合成路线图解说明:

Treatment of ethyl 2,6-dichloro-5-fluoronicotinylacetate (I) with ethyl orthoformate in refluxing acetic anhydride and then with 2,4-difluoroaniline in methylene chloride at room temperature gives the enaminoketo ester derivative (II). Cyclization of (II) with sodium hydride in THF gives ethyl 7-chloro-1-(2,4-difluorophenyl)-6-fluoro-4-oxo-1,4-dihydro-1,8-naphthyridine-3-carboxylate (III). Hydrolysis of (III) with hydrochloric acid yields 7-chloro-1-(2,4-difluorophenyl)-6-fluoro-4-oxo-1,4-dihydro-1,8-naphthyridine-3-carboxylic acid (IV). Condensation of (IV) with 3-tert-butoxycarbonyl-L-norvalyl-L-norvalylaminopyrrolidine (V) in pyridine yields 7-(3-tert-butoxycarbonyl-L-norvalyl-L-norvalylaminopyrrolidin-1-yl)- 1-(2,4-difluorophenyl)-6-fluoro-4-oxo-1,4-dihydro-1,8-naphthyridine-3-carboxylic acid (VI). Hydrolysis of (VI) in trifluoroacetic acid gives A-70826.

Drug Information Express,Drug R&D,Chemical Database,Patent Search.
Copyright © 2006-2026 Drug Future. All rights reserved.Contact Us