【药物名称】MD-39-AM
化学结构式(Chemical Structure):
参考文献No.160505
标题:Diuretic and hypotensive activities of 4-anilino derivatives of 2-methylthiopyrido[2,3-d]pyrimidines
作者:Ochoa, M.C.; Fern醤dez, F.J.; Sanmart韓, C.; Monge, A.; Mart韓ez-Merino, V.; Bellver, C.; Artigas, P.
来源:Arzneim-Forsch Drug Res 1990,40(11),1230-3
合成路线图解说明:

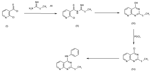
The synthesis of MD-39-AM (V) was carried out as follows: From 2-chloronicotinic acid (as its acyl chloride) (I) and thiourea in triethylamine (1:1:2), compound (II) was obtained. However, in order to avoid the substitution of 2-Cl by sulfur, 2-methylisothiourea was used. By boiling a solution of (II) in dimethylformamide (DMF) for 15 min, (III) (87%) was obtained. Reaction of (III) with phosphorous oxychloride gave 4-chloro-2-(methylthio)pyrido[2,3-d]pyrimidine (IV) (90%). By reacting (IV) with aniline in ethanol, MD-39-AM was obtained.

参考文献No.164119
标题:MD-39-AM
作者:Mart韓ez-Merino, V.; Monge, A.; Sanmart韓, C.
来源:Drugs Fut 1992,17(2),107
合成路线图解说明:

The synthesis of MD-39-AM (V) was carried out as follows: From 2-chloronicotinic acid (as its acyl chloride) (I) and thiourea in triethylamine (1:1:2), compound (II) was obtained. However, in order to avoid the substitution of 2-Cl by sulfur, 2-methylisothiourea was used. By boiling a solution of (II) in dimethylformamide (DMF) for 15 min, (III) (87%) was obtained. Reaction of (III) with phosphorous oxychloride gave 4-chloro-2-(methylthio)pyrido[2,3-d]pyrimidine (IV) (90%). By reacting (IV) with aniline in ethanol, MD-39-AM was obtained.

参考文献No.802122
标题:2-Arylamino-4-oxo-3,4-dihydropyrido[2,3-d]pyrimidines: Synthesis and diuretic activity
作者:Mart韓ez-Merino, V.; Ochoa, M.C.; Fern醤dez, F.J.; Artigas, P.; Monge, A.; Bellver, C.; Sanmart韓, C.; Fern醤dez-羖varez, E.
来源:Eur J Med Chem 1989,24209
合成路线图解说明:

The synthesis of MD-39-AM (V) was carried out as follows: From 2-chloronicotinic acid (as its acyl chloride) (I) and thiourea in triethylamine (1:1:2), compound (II) was obtained. However, in order to avoid the substitution of 2-Cl by sulfur, 2-methylisothiourea was used. By boiling a solution of (II) in dimethylformamide (DMF) for 15 min, (III) (87%) was obtained. Reaction of (III) with phosphorous oxychloride gave 4-chloro-2-(methylthio)pyrido[2,3-d]pyrimidine (IV) (90%). By reacting (IV) with aniline in ethanol, MD-39-AM was obtained.

Drug Information Express,Drug R&D,Chemical Database,Patent Search.
Copyright © 2006-2026 Drug Future. All rights reserved.Contact Us