【药物名称】IPM-[125I], [125I]-IPM
化学结构式(Chemical Structure):
参考文献No.16120
标题:Radioiodinated maleimides and use as agents for radiolabeling antibodies
作者:Srivastava, P.C. (US Department of Energy)
来源:US 4735792
合成路线图解说明:

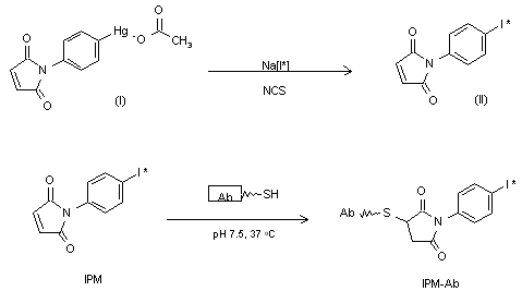
The radioiodination procedure (scheme 17660801a) has been described earlier (1, 2) and was adapted for the synthesis of (II) as follows: Compound (I) (4.3 mg, 10 mcmol) was added to Na125I (1.5 mCi) contained in 0.1 N NaOH (100 mcl) in a round-bottom flask shielded from light. N-Chlorosuccinimide (0.4 mg, 3 mcmol) in THF (100 mcl) and sodium iodide (0.37 mg, 2.5 mcmol) in water (100 mcl) were then added, and the solution was stirred at room temperature in the dark for 40 min. Sodium thiosulfate (2.5 mg) in water (1 ml) was then added. Extraction with ethyl ether and purification by silica gel column chromatography yielded [125I]-IPM (II) in 25% radiochemical yield (375 mcCi) with a calculated specific activity of 1.5 Ci/mmol (Srivastava, P.C. et al. NucCompact 1989, 5: 145-9).

参考文献No.16121
标题:Mercuric acetate phenyl maleimide useful for preparing radiohalogenated maleimides
作者:Srivastava, P.C. (US Department of Energy)
来源:US 4812577
合成路线图解说明:

The radioiodination procedure (scheme 17660801a) has been described earlier (1, 2) and was adapted for the synthesis of (II) as follows: Compound (I) (4.3 mg, 10 mcmol) was added to Na125I (1.5 mCi) contained in 0.1 N NaOH (100 mcl) in a round-bottom flask shielded from light. N-Chlorosuccinimide (0.4 mg, 3 mcmol) in THF (100 mcl) and sodium iodide (0.37 mg, 2.5 mcmol) in water (100 mcl) were then added, and the solution was stirred at room temperature in the dark for 40 min. Sodium thiosulfate (2.5 mg) in water (1 ml) was then added. Extraction with ethyl ether and purification by silica gel column chromatography yielded [125I]-IPM (II) in 25% radiochemical yield (375 mcCi) with a calculated specific activity of 1.5 Ci/mmol (Srivastava, P.C. et al. NucCompact 1989, 5: 145-9).

参考文献No.155709
标题:[125I]-IPM
作者:Srivastava, P.C.; Buchsbaum, D.J.
来源:Drugs Fut 1991,16(11),1004
合成路线图解说明:

The radioiodination procedure (scheme 17660801a) has been described earlier (1, 2) and was adapted for the synthesis of (II) as follows: Compound (I) (4.3 mg, 10 mcmol) was added to Na125I (1.5 mCi) contained in 0.1 N NaOH (100 mcl) in a round-bottom flask shielded from light. N-Chlorosuccinimide (0.4 mg, 3 mcmol) in THF (100 mcl) and sodium iodide (0.37 mg, 2.5 mcmol) in water (100 mcl) were then added, and the solution was stirred at room temperature in the dark for 40 min. Sodium thiosulfate (2.5 mg) in water (1 ml) was then added. Extraction with ethyl ether and purification by silica gel column chromatography yielded [125I]-IPM (II) in 25% radiochemical yield (375 mcCi) with a calculated specific activity of 1.5 Ci/mmol (Srivastava, P.C. et al. NucCompact 1989, 5: 145-9).

Drug Information Express,Drug R&D,Chemical Database,Patent Search.
Copyright © 2006-2026 Drug Future. All rights reserved.Contact Us