【药物名称】OPC-21268
化学结构式(Chemical Structure):
参考文献No.12957
标题:Carbostyril derivs
作者:Ogawa, H.; Miyamoto, H.; Kondo, K.; Yamashita, H.; Nakaya, K.; Tominaga, M.; Yabuuchi, Y. (Otsuka Pharmaceutical Co., Ltd.)
来源:EP 0382185; JP 1991173870; US 5225402; US 5436256; US 5652247
合成路线图解说明:

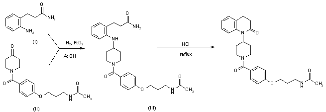
The reductocondensation of 3-(2-aminophenyl)propionamide (I) with 1-[4-(3-acetamidopropoxy)benzoyl]piperidin-4-one (II) by means of H2 and PtO2 in acetic acid gives 3-[2-[1-[4-(3-acetamidopropoxy)benzoyl]piperidin-4-ylamino]phenyl] propionamide (III), which is finally cyclized in refluxing 5% HCl.

参考文献No.218440
标题:OPC-21268
作者:Mealy, N.; Prous, J.; Casta馿r, J.
来源:Drugs Fut 1993,18(10),901
合成路线图解说明:

The reductocondensation of 3-(2-aminophenyl)propionamide (I) with 1-[4-(3-acetamidopropoxy)benzoyl]piperidin-4-one (II) by means of H2 and PtO2 in acetic acid gives 3-[2-[1-[4-(3-acetamidopropoxy)benzoyl]piperidin-4-ylamino]phenyl] propionamide (III), which is finally cyclized in refluxing 5% HCl.

Drug Information Express,Drug R&D,Chemical Database,Patent Search.
Copyright © 2006-2026 Drug Future. All rights reserved.Contact Us