【药物名称】Gadobutrol, SH-L-562, Gadovist
化学结构式(Chemical Structure):
参考文献No.15920
标题:1,4,7,10-Tetraazacyclododecane-butyl-triols, process for their preparation, and pharmaceutical agents containing these cpds.
作者:Platzek, J.; Gries, H.; Weinmann, H.-J.; Schuhmann-Giampieri, G.; Press, W.-R. (Schering AG)
来源:DE 4009119; EP 0448191; US 2002176823; US 6399043
合成路线图解说明:

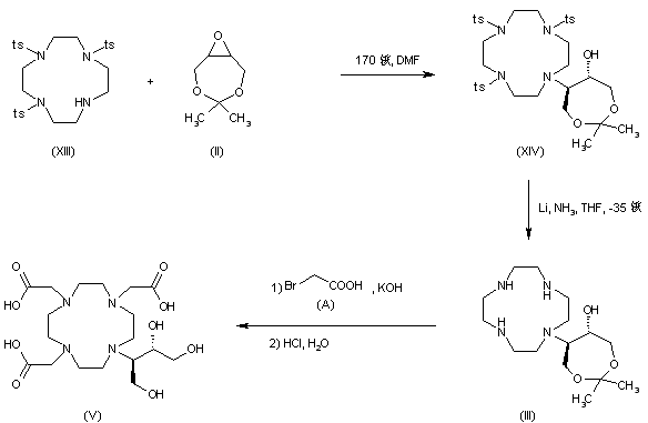
In a related method for obtaining the precursor (V), epoxide (II) was condensed with the tosyl-protected tetraamine (XIII) in an autoclave at 170 C to give (XIV). The N-tosyl groups of (XIV) were then removed by treatment with lithium metal in liquid ammonia, yielding intermediate (III), which was then subjected to alkylation with bromoacetic acid, followed by acid hydrolysis

参考文献No.38407
标题:1,4,7,10-Tetraazabicyclo[8.2.2]tetradecan-2-one, a process for the preparation thereof and the use thereof for the preparation of tetraazamacrocycles
作者:Argese, M.; Ripa, G. (Bracco SpA; Dibra SpA)
来源:EP 0998476; JP 2002511884; WO 9905145
合成路线图解说明:

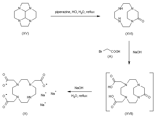
A different synthesis started from the previously reported tetraaza cyclopentaacenaphthylene (XV). Treatment of (XV) with a solution of piperazine at pH 6 gave rise to the bicyclic lactam (XVI). Alkylation of (XVI) with bromoacetic acid, followed by basic lactam hydrolysis furnished the tris(carboxymethyl) derivative (X), which was processed as in Scheme 3.

参考文献No.57447
标题:Process for producing N-beta-hydroxyalkyl-tri-N-carboxyalkyl-1,4,7,10-tetraazacyclododecane and N-beta-hydroxyalkyl-tri-N-carboxyalkyl-1,4,8,11-tetraazacyclotetradecane derivs. and their metal complexes
作者:Gries, H.; Nickisch, K.; Platzek, J.; B鰎ner, H.; Tilstam, U. (Schering AG)
来源:DE 4218744; WO 9324469
合成路线图解说明:

1,4,7,10-Tetraazacyclododecane (I) was condensed with 2,3-epoxy-1,4-butanediol acetonide (II) in boiling n-butanol to afford adduct (III). Subsequent acetonide (III) hydrolysis in the presence of HCl led to triol (IV). Alkylation of (IV) with chloroacetic acid furnished the tetraaminotricarboxylic acid (V). Alternatively, compound (V) was prepared by alkylation of (III) with chloroacetic acid, followed by acidic ketal hydrolysis. The title gadolinium complex was finally prepared by treatment of the cyclic tetraamine (V) with gadolinium oxide

参考文献No.57448
标题:Process for the production of metal complexes of N-beta-hydroxyalkyl-tri-N-carboxyalkyl-1,4,7,10-tetraazacyclododecane and derivs. thereof
作者:Gries, H.; Platzek, J. (Schering AG)
来源:DE 4237943; EP 0596586
合成路线图解说明:

Alternatively, the protected tetraamine (VIII) was condensed with epoxide (II) to afford (XII), which was further hydrolyzed to the mono-substituted tetraazacyclododecane (III) under basic conditions. Alkylation of (III) with chloracetic acid, followed by acidic ketal hydrolysis furnished the precursor (V), which was finally complexed with gadolinium oxide as above

参考文献No.57449
标题:Production of mono and 1,7-bis-N-hydroxyalkyl-cyclene and lithium salt complexes
作者:Blaszkiewicz, P.; Petrov, O. (Schering AG)
来源:DE 19724186; US 5994536; WO 9855467
合成路线图解说明:

In a similar procedure, condensation of (I) with epoxide (II) in isopropanol in the presence of LiCl furnished the corresponding adduct as a complex with LiCl (VI) (2). Condensation of (VI) with chloroacetic acid, followed by acidic hydrolysis provided the lithium complex (VII). Finally, treatment of (VII) with Gd2O3 and HCl afforded the title gadolinium compound

参考文献No.57450
标题:A process for the preparation of macrocyclic chelants and the chelates thereof with paramagnetic metal ions
作者:Murru, M.; Ripa, G.; Scala, A.; Viscardi, C.F.; Ausonio, M.; Scotti, C.; Cossuta, P. (Bracco SpA; Dibra SpA)
来源:WO 9856775
合成路线图解说明:

The macrocyclic tetraamine (I) was protected as the triaminomethane derivative (VIII) by treatment with either triethyl orthoformate (4) or with dimethylformamide dimethylacetal (5). Alkylation of (VIII) with bromoacetic acid gave rise to the N-formyl N',N'',N'''-tris(carboxymethyl) compound (IX). After basic hydrolysis of the formamide function of (IX), the resultant N-deprotected amine (X) was condensed with epoxide (II) to yield (XI). Further complexation with GdCl3 and ketal group hydrolysis led to the target compound

参考文献No.57451
标题:Lithium complexes of N-(1-hydroxymethyl-2,3-dihydroxypropyl)-1,4,7-triscarboxymethyl-1,4,7,10-tetraazacyclododecane, production and use thereof
作者:Blaszkiewicz, P.; Platzek, J.; Hoffmann, H.; Petrov, O. (Schering AG)
来源:DE 10064467; WO 0248119
合成路线图解说明:

In a similar procedure, condensation of (I) with epoxide (II) in isopropanol in the presence of LiCl furnished the corresponding adduct as a complex with LiCl (VI) (2). Condensation of (VI) with chloroacetic acid, followed by acidic hydrolysis provided the lithium complex (VII). Finally, treatment of (VII) with Gd2O3 and HCl afforded the title gadolinium compound

Drug Information Express,Drug R&D,Chemical Database,Patent Search.
Copyright © 2006-2026 Drug Future. All rights reserved.Contact Us