【药物名称】Amorolfine hydrochloride, MT-861, Ro-14-4767/000(free base), Ro-14-4767/002, Pekiron, Bekiron, Loceryl
化学结构式(Chemical Structure):
参考文献No.66366
标题:RO-144,767/002
作者:Blancafort, P.; Casta馿r, J.; Serradell, M.N.
来源:Drugs Fut 1982,7(7),492
合成路线图解说明:

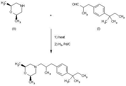
By condensation of 3-(4-tert-amylphenyl)propionaldehyde (I) with 2,6-dimethylmorpholine (II) by heating at 100 C in toluene, followed by hydrogenation with H2 over Pd/C in the same solvent.

参考文献No.701321
标题:Piperidines morpholines, etc., and fungicidal compsns. Thereof
作者:Pfiffner, A.; Bohnen, K. (Roche)
来源:US 4202894; US 4241058
合成路线图解说明:

By condensation of 3-(4-tert-amylphenyl)propionaldehyde (I) with 2,6-dimethylmorpholine (II) by heating at 100 C in toluene, followed by hydrogenation with H2 over Pd/C in the same solvent.

Drug Information Express,Drug R&D,Chemical Database,Patent Search.
Copyright © 2006-2026 Drug Future. All rights reserved.Contact Us