【药物名称】Spifloxacin hydrate, Sitafloxacin hydrate, DU-6859a, DU-6859(anhydrous), Gracevit
化学结构式(Chemical Structure):
参考文献No.11509
标题:Optically active pyridone carboxylic acid derivs
作者:Hayakawa, I.; Kimura, Y. (Daiichi Pharmaceutical Co., Ltd.)
来源:AU 8933702; EP 0341493; JP 1990231475; JP 1995300416; JP 1999124367; JP 1999124380; US 5587386; US 5767127
合成路线图解说明:

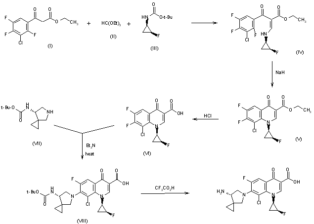
The condensation of 3-chloro-2,4,5-trifluorobenzoylacetic acid ethyl ester (I) with (1R,2S)-N-(tert-butoxycarbonyl)-2-fluorocyclopropylamine (III) and ethyl orthoformate (II) in hot acetic anhydride gives (1R,2S)-2-(3-chloro-2,4,5-trifluorobenzoyl)-3-(2-fluorocyclopropylamino)acrylic acid ethyl ester (IV). The cyclization of (IV) by means of NaH yields the quinolone (V), which is hydrolyzed with HCl to the free acid (VI). The condensation of (VI) with 7(S)-(tert-butoxycarbonylamino)-5-azaspiro[2.4]heptane (VII) by means of triethylamine in refluxing acetonitrile affords the protected final product (VIII), which is finally deprotected with trifluoroacetic acid and anisole.

合成路线图解说明:

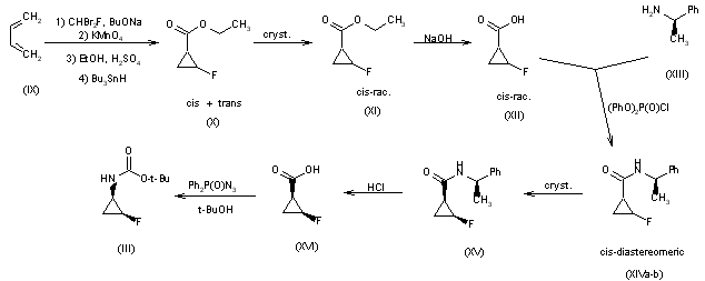
The chiral intermediate (1R,2S)-N-(tert-butoxycarbonyl)-2-fluorocyclopropylamine (III) is obtained as follows: 1) The cyclization of butadiene (IX) with dibromofluoromethane by means of BuONa, followed by oxidation with KMnO4, esterification with ethanol - sulfuric acid and reduction with tributyltin hydride gives 2-fluorocyclopropanecarboxylic acid ethyl ester as a cis/trans mixture (X), which is separated by crystallization. The cis-racemic-isomer (XI) is hydrolyzed with NaOH to the corresponding acid (XII), which is condensed with (R)-alpha-methylbenzylamine (XIII) by means of diphenyl chlorophosphate to give the mixture of diastereomers (XIV). This mixture is separated by crystallization, yielding pure (1S,2S)-2-fluoro-N-[alpha(R)-methylbenzyl]cyclopropanecarboxamide (XV), which is hydrolyzed with HCl to the corresponding free acid (XVI). Finally, this compound is converted into (III) by treatment with diphenylphosphoryl azide in refluxing tert-butanol.

合成路线图解说明:

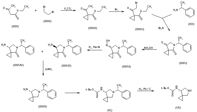
b) The intermediate 7(S)-(tert-Butoxycarbonylamino)-5-azaspiro[2.4]heptane (VII) can also be obtained as follows: 1) The cyclopropanation of ethyl acetoacetate (XXXI) with 1,2-dibromoethane (XXXII) by means of K2CO3 in DMF gives 1-acetylcyclopropane-1-carboxylic acid ethyl ester (XXXIII), which is brominated with Br2 in ethanol yielding the bromoacetyl derivative (XXXIV). The cyclization of (XXXI) with (R)-alpha-methylbenzylamine (XIII) by means of triethylamine affords 5-[1(R)-phenylethyl]-5-azaspiro[2.4]heptane-4,7-dione (XXXV), which by reaction with hydroxylamine is converted into the monooxime (XXXVI). The reduction of (XXXVI) with H2 over RaNi in methanol affords 7-amino-5-[1(R)-phenylethyl]-5-azaspiro[2.4]heptan-4-one as a diastereomeric mixture (XXXVII) + (XXXVIII), which is separated by column chromatography. The reduction of the (7S)-isomer (XXXVIII) with LiAlH4 in THF gives 7(S)-amino-5-[1(R)-phenylethyl]-5-azaspiro[2.4]heptane (XXXIX), which is protected in the usual way to the tert-butoxycarbonyl derivative (XL). Finally, this compound is debenzylated to (VII) by hydrogenation with H2 over Pd/C in ethanol.

参考文献No.160374
标题:Design and structure-activity relationship of new N1-cis-2-fluorocyclopropyl quinolones. 31st
作者:Sato, K.; Saito, T.; Hayakawa, I.; Sato, M.; Yafune, T.; Atarashi, S.; Une, T.; Kimura, Y.; Kawakami, K.
来源:31st Intersci Conf Antimicrob Agents Chemother (Sept 29-Oct 2, Chicago) 1991,Abst 1504
合成路线图解说明:

The chiral intermediate (1R,2S)-N-(tert-butoxycarbonyl)-2-fluorocyclopropylamine (III) is obtained as follows: 1) The cyclization of butadiene (IX) with dibromofluoromethane by means of BuONa, followed by oxidation with KMnO4, esterification with ethanol - sulfuric acid and reduction with tributyltin hydride gives 2-fluorocyclopropanecarboxylic acid ethyl ester as a cis/trans mixture (X), which is separated by crystallization. The cis-racemic-isomer (XI) is hydrolyzed with NaOH to the corresponding acid (XII), which is condensed with (R)-alpha-methylbenzylamine (XIII) by means of diphenyl chlorophosphate to give the mixture of diastereomers (XIV). This mixture is separated by crystallization, yielding pure (1S,2S)-2-fluoro-N-[alpha(R)-methylbenzyl]cyclopropanecarboxamide (XV), which is hydrolyzed with HCl to the corresponding free acid (XVI). Finally, this compound is converted into (III) by treatment with diphenylphosphoryl azide in refluxing tert-butanol.

合成路线图解说明:

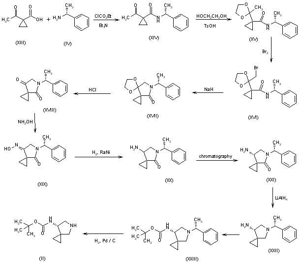
b) The intermediate 7(S)-(tert-Butoxycarbonylamino)-5-azaspiro[2.4]heptane (VII) can also be obtained as follows: 2) The reaction of 1-acetylcyclopropane-1-carboxylic acid ethyl ester (XXXIII) with (R)-alpha-methylbenzylamine (XIII) by means of NaOH and ethyl chloroformate gives the corresponding amide (XLI), which by reaction with ethylene glycol and p-toluenesulfonic acid is converted into the ethylene ketal (XLII). The bromination of (XLII) with Br2 in dioxane affords the bromomethyl dioxolane (XLIII), which is finally cyclized to 5-[1(R)-phenylethyl]-5-azaspiro[2.4]heptane-4,7-dione (XXXV), already obtained as an intermediate in the preceding synthesis.

参考文献No.185403
标题:Synthesis and optical resolution of dl-cis-2-fluorocyclopropylamine, the key component of the new generation of quinolonecarboxylic acid, DU-6859
作者:Kobayashi, Y.; Hashimoto, M.; Tamura, O.; Terashima, S.; Katoh, T.; Hayakawa, I.; Akiba, T.; Nakatani, K.; Kamada, M.
来源:Tetrahedron Lett 1992,33(24),3483-6
合成路线图解说明:

The chiral intermediate (1R,2S)-N-(tert-butoxycarbonyl)-2-fluorocyclopropylamine (III) can also be obtained as follows: 3) A study of the influence of different substituents in the cis/trans ratio of the cyclopropanation process has been performed. The general method is as follows: the reaction of benzylamine (XXIII) with acetaldehyde and trichloromethyl chloroformate gives the N-benzyl-N-vinylcarbamoyl chloride (XXIV), which by treatment with alcohol yields the N-vinylcarbamate (XXV). The cyclopropanation of (XXV) with fluorodiiodomethane and diethyl zinc as before preferentially affords the cis-N-(2-fluorocyclopropyl)carbamate (XXVI), which is purified by crystallization. The hydrogenolysis of (XXVI) with H2 over Pd/C in acetic acid gives cis-racemic-2-fluorocyclopropylamine (XXVII), which is submitted to optical resolution with L-menthyl chloroformate to afford pure (1R,2S)-isomer (XXII). Finally, this compound is converted into (III) with tert-butoxycarbonyl anhydride as before.

参考文献No.185404
标题:Asymmetric synthesis of (1R,2S)-2-fluorocyclopropylamine, the key intermediate of the new generation of quinolonecarboxylic acid, DU-6859
作者:Tamura, O.; Hashimoto, M.; Kobayashi, Y.; Katoh, T.; Nakatani, K.; Kamada, M.; Hayakawa, I.; Akiba, T.; Terashima, S.
来源:Tetrahedron Lett 1992,33(24),3487-90
合成路线图解说明:

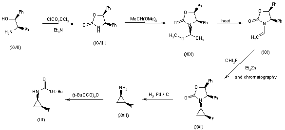
The chiral intermediate (1R,2S)-N-(tert-butoxycarbonyl)-2-fluorocyclopropylamine (III) can also be obtained as follows: 2) The cyclization of (1S,2R)-2-amino-1,2-diphenylethanol (XVII) with trichloromethyl chloroformate and triethylamine in dichloromethane gives (4R,5S)-4,5-diphenyloxazolidin-2-one (XVIII), which is treated with 1,1-dimethoxyethane and an acid catalyst, yielding the 1-methoxyethyl derivative (XIX). The heat treatment (150 C) of (XIX) affords the corresponding vinyl derivative (XX), which is cyclized with fluorodiiodomethane and diethyl zinc (a fluorocarbenoid compound) in a preferentially cis-way to afford the cyclopropyl-oxazolidinone (XXI), purified by column chromatography. The hydrogenolysis of (XXI) with H2 over Pd/C in acetic acid gives (1R,2S)-2-fluorocyclopropylamine (XXII), which is finally converted into (III) by reaction with tert-butoxycarbonyl anhydride and triethylamine in THF.

参考文献No.229790
标题:Practical synthesis of DU-6859a: Novel synthesis of cis-2-fluorocyclopropanecarboxylic acid, the key intermediate of 1-substituent
作者:Kohda, H.; Takahashi, H.; Ishida, Y.; et al.
来源:33rd Intersci Conf Antimicrob Agents Chemother (Oct 17-20, New Orleans) 1993,Abst 975
合成路线图解说明:

The chiral intermediate (1R,2S)-N-(tert-butoxycarbonyl)-2-fluorocyclopropylamine (III) can also be obtained as follows: 4) The cyclopropanation of 1-chloro-1-fluoroethylene (XXVIII) with diazoacetic esters (XXIX) catalyzed by rhodium catalysts, especially dirhodium (II) tetrakistriphenylacetate, gives preferentially the corresponding 2t-chloro-2c-fluorocyclopropane-1r-carboxylic esters (XXX), which are easily dechlorinated to the cis-racemic-2-fluorocyclopropanecarboxylic acid (XII), already obtained as intermediate in the synthesis shown in Scheme 2.

参考文献No.264197
标题:DU-6859
作者:Casta馿r, J.; Graul, A.; Prous, J.
来源:Drugs Fut 1994,19(9),827
合成路线图解说明:

The condensation of 3-chloro-2,4,5-trifluorobenzoylacetic acid ethyl ester (I) with (1R,2S)-N-(tert-butoxycarbonyl)-2-fluorocyclopropylamine (III) and ethyl orthoformate (II) in hot acetic anhydride gives (1R,2S)-2-(3-chloro-2,4,5-trifluorobenzoyl)-3-(2-fluorocyclopropylamino)acrylic acid ethyl ester (IV). The cyclization of (IV) by means of NaH yields the quinolone (V), which is hydrolyzed with HCl to the free acid (VI). The condensation of (VI) with 7(S)-(tert-butoxycarbonylamino)-5-azaspiro[2.4]heptane (VII) by means of triethylamine in refluxing acetonitrile affords the protected final product (VIII), which is finally deprotected with trifluoroacetic acid and anisole.

合成路线图解说明:

The chiral intermediate (1R,2S)-N-(tert-butoxycarbonyl)-2-fluorocyclopropylamine (III) is obtained as follows: 1) The cyclization of butadiene (IX) with dibromofluoromethane by means of BuONa, followed by oxidation with KMnO4, esterification with ethanol - sulfuric acid and reduction with tributyltin hydride gives 2-fluorocyclopropanecarboxylic acid ethyl ester as a cis/trans mixture (X), which is separated by crystallization. The cis-racemic-isomer (XI) is hydrolyzed with NaOH to the corresponding acid (XII), which is condensed with (R)-alpha-methylbenzylamine (XIII) by means of diphenyl chlorophosphate to give the mixture of diastereomers (XIV). This mixture is separated by crystallization, yielding pure (1S,2S)-2-fluoro-N-[alpha(R)-methylbenzyl]cyclopropanecarboxamide (XV), which is hydrolyzed with HCl to the corresponding free acid (XVI). Finally, this compound is converted into (III) by treatment with diphenylphosphoryl azide in refluxing tert-butanol.

合成路线图解说明:

The chiral intermediate (1R,2S)-N-(tert-butoxycarbonyl)-2-fluorocyclopropylamine (III) can also be obtained as follows: 2) The cyclization of (1S,2R)-2-amino-1,2-diphenylethanol (XVII) with trichloromethyl chloroformate and triethylamine in dichloromethane gives (4R,5S)-4,5-diphenyloxazolidin-2-one (XVIII), which is treated with 1,1-dimethoxyethane and an acid catalyst, yielding the 1-methoxyethyl derivative (XIX). The heat treatment (150 C) of (XIX) affords the corresponding vinyl derivative (XX), which is cyclized with fluorodiiodomethane and diethyl zinc (a fluorocarbenoid compound) in a preferentially cis-way to afford the cyclopropyl-oxazolidinone (XXI), purified by column chromatography. The hydrogenolysis of (XXI) with H2 over Pd/C in acetic acid gives (1R,2S)-2-fluorocyclopropylamine (XXII), which is finally converted into (III) by reaction with tert-butoxycarbonyl anhydride and triethylamine in THF.

合成路线图解说明:

The chiral intermediate (1R,2S)-N-(tert-butoxycarbonyl)-2-fluorocyclopropylamine (III) can also be obtained as follows: 3) A study of the influence of different substituents in the cis/trans ratio of the cyclopropanation process has been performed. The general method is as follows: the reaction of benzylamine (XXIII) with acetaldehyde and trichloromethyl chloroformate gives the N-benzyl-N-vinylcarbamoyl chloride (XXIV), which by treatment with alcohol yields the N-vinylcarbamate (XXV). The cyclopropanation of (XXV) with fluorodiiodomethane and diethyl zinc as before preferentially affords the cis-N-(2-fluorocyclopropyl)carbamate (XXVI), which is purified by crystallization. The hydrogenolysis of (XXVI) with H2 over Pd/C in acetic acid gives cis-racemic-2-fluorocyclopropylamine (XXVII), which is submitted to optical resolution with L-menthyl chloroformate to afford pure (1R,2S)-isomer (XXII). Finally, this compound is converted into (III) with tert-butoxycarbonyl anhydride as before.

合成路线图解说明:

The chiral intermediate (1R,2S)-N-(tert-butoxycarbonyl)-2-fluorocyclopropylamine (III) can also be obtained as follows: 4) The cyclopropanation of 1-chloro-1-fluoroethylene (XXVIII) with diazoacetic esters (XXIX) catalyzed by rhodium catalysts, especially dirhodium (II) tetrakistriphenylacetate, gives preferentially the corresponding 2t-chloro-2c-fluorocyclopropane-1r-carboxylic esters (XXX), which are easily dechlorinated to the cis-racemic-2-fluorocyclopropanecarboxylic acid (XII), already obtained as intermediate in the synthesis shown in Scheme 2.

合成路线图解说明:

b) The intermediate 7(S)-(tert-Butoxycarbonylamino)-5-azaspiro[2.4]heptane (VII) can also be obtained as follows: 1) The cyclopropanation of ethyl acetoacetate (XXXI) with 1,2-dibromoethane (XXXII) by means of K2CO3 in DMF gives 1-acetylcyclopropane-1-carboxylic acid ethyl ester (XXXIII), which is brominated with Br2 in ethanol yielding the bromoacetyl derivative (XXXIV). The cyclization of (XXXI) with (R)-alpha-methylbenzylamine (XIII) by means of triethylamine affords 5-[1(R)-phenylethyl]-5-azaspiro[2.4]heptane-4,7-dione (XXXV), which by reaction with hydroxylamine is converted into the monooxime (XXXVI). The reduction of (XXXVI) with H2 over RaNi in methanol affords 7-amino-5-[1(R)-phenylethyl]-5-azaspiro[2.4]heptan-4-one as a diastereomeric mixture (XXXVII) + (XXXVIII), which is separated by column chromatography. The reduction of the (7S)-isomer (XXXVIII) with LiAlH4 in THF gives 7(S)-amino-5-[1(R)-phenylethyl]-5-azaspiro[2.4]heptane (XXXIX), which is protected in the usual way to the tert-butoxycarbonyl derivative (XL). Finally, this compound is debenzylated to (VII) by hydrogenation with H2 over Pd/C in ethanol.

合成路线图解说明:

b) The intermediate 7(S)-(tert-Butoxycarbonylamino)-5-azaspiro[2.4]heptane (VII) can also be obtained as follows: 2) The reaction of 1-acetylcyclopropane-1-carboxylic acid ethyl ester (XXXIII) with (R)-alpha-methylbenzylamine (XIII) by means of NaOH and ethyl chloroformate gives the corresponding amide (XLI), which by reaction with ethylene glycol and p-toluenesulfonic acid is converted into the ethylene ketal (XLII). The bromination of (XLII) with Br2 in dioxane affords the bromomethyl dioxolane (XLIII), which is finally cyclized to 5-[1(R)-phenylethyl]-5-azaspiro[2.4]heptane-4,7-dione (XXXV), already obtained as an intermediate in the preceding synthesis.

参考文献No.277573
标题:(Fluorocyclopropyl)quinolones. 2. Synthesis and stereochemical structure-activity relationships of chiral 7-(7-amino-5-azaspiro[2.4]heptan-5-yl)-1-(2-fluorocyclopropyl)quinolone antibacterial agents
作者:Kimura, Y.; Atarashi, S.; Kawakami, K.; Sato, K.; Hayakawa, I.
来源:J Med Chem 1994,37(20),3344
合成路线图解说明:

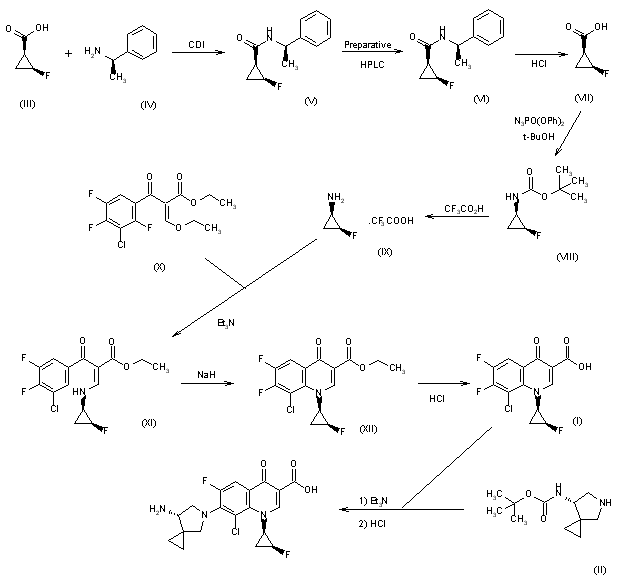
A new synthesis of DU-6859 has been described: This compound is obtained by condensation of 8-chloro-6,7-difluoro-1-[2(S)-fluoro-1(R)-cyclopropyl]-4-oxo-1,4-dihydr oquinoline-3-carboxylic acid (I) with 7(S)-(tert-butoxycarbonylamino)-5-azaspiro[2.4]heptane (II) by means of triethylamine in refluxing acetonitrile, followed by deprotection with 35% aqueous HCl. The starting compounds (I) and (II) are obtained as follows: 1) The reaction of (+/-)-cis-2-fluorocyclopropane-1-carboxylic acid (III) with 1(R)-phenylethylamine (IV) by means of N,N'-carbonyldiimidazole (CDI) gives the corresponding amide (V) as a mixture of diastereomers, which is submitted to preparative HPLC yielding 2(S)-fluorocyclopropane-1(R)-carboxylic acid 1(R)-phenylethylamide (VI). Hydrolysis of (VI) with hot 35% HCl affords the corresponding free acid (VII), which by reaction with diphenyl phosphorazidate in tert-butanol is converted to 1(R)-(tert-butoxycarbonylamino)-2(S)-fluorocyclopropane (VIII). The deprotection of (VIII) with trifluoroacetic acid gives the corresponding free amine as trifluoroacetate (IX), which is condensed with 2-(3-chloro-2,4,5-trifluorobenzoyl)-3-ethoxyacrylic acid ethyl ester (X) by means of triethylamine in dichloromethane to yield the chiral 3-aminoacrylate (XI). The cyclization of (XI) by means of NaH in dioxane affords 8-chloro-6,7-difluoro-1-[2(S)-fluoro-1(R)-cyclopropyl]-4-oxo-1,4-dihydroquinoline-3-carboxylic acid ethyl ester (XII), which is finally saponified to the desired acid (I) with hot 35% HCl.

合成路线图解说明:

2) The reaction of 1-acetylcyclopropane-1-carboxylic acid (XIII) with 1(R)-phenylethylamine (IV) by means of ethyl chloroformate and triethylamine gives the corresponding amide (XIV), which is treated with ethylene glycol and p-toluenesulfonic acid, yielding the dioxolane (XV). The bromination of (XV) with Br2 in dioxane affords the bromomethyl-dioxolane (XVI), which is cyclized by means of NaH in DMF to give 5-[1(R)-phenylethyl]-5-azaspiro[2.4]heptane-4,7-dione 7-ethyleneketal (XVII). Opening of the ketal ring with 1N HCl in refluxing acetone yields the free diketone (XVIII), which by reaction with hydroxylamine and triethylamine in ethanol affords the monooxime (XIX). The reduction of (XIX) with H2 over RaNi in methanol gives the aminoketone (XX) as a diastereomeric mixture, which is separated by column chromatography yielding 7(S)-amino-5-[1(R)-phenylethyl]-5-azaspiro[2.4]heptan-4-one (XXI). The reduction of (XXI) with LiAlH4 in THF affords the amine (XXII), which is protected with 2-(tert-butoxycarbonyloxyimino)-2-phenylacetonitrile in THF to give 7(S)-(tert-butoxycarbonylamino)-5-[1(R)-phenylethyl]-5-azaspiro[2.4]heptane (XXIII). Finally, this compound is hydrogenolyzed with H2 over Pd/C in ethanol, yielding the desired chiral spiro compound (II).

参考文献No.472997
标题:An efficient synthesis of a key intermediate of DU-6859a via asymmetric microbial reduction
作者:Yukimoto, Y.; Imura, A.; Satoh, K.; Kanai, K.; Miyadera, A.
来源:Chem Pharm Bull 1998,46(4),587
合成路线图解说明:

An efficient synthesis of 7(S)-(tert-butoxycarbonylamino)-5-azaspiro[2.4]heptane (XI), a key intermediate in the synthesis of DU-6859a, via an asymmetric microbial reduction has been described: The reaction of N-benzylglycine (I) with tert-butoxycarbonyl anhydride gives N-benzyl-N-(tert-butoxycarbonyl)glycine (II), which is condensed with the potassium salt of ethyl hydrogen malonate (III) by means of carbonyldiimidazole (CDI) in THF yielding 4-[N-benzyl-N-(tert-butoxycarbonyl)amino]-3-oxobutyric acid ethyl ester (IV). The cyclopropanation of (IV) with 1,2-dibromoethane (V) by means of K2CO3 in refluxing acetone affords the cyclopropane derivative (VI), which is cyclized by means of trifluoroacetic acid in dichloromethane to give 5-benzyl-5-azaspiro[2.4]heptane-4,7-dione (VII). The enantioselective microbial reduction of (VII) by means of Phaeocreopsis sp. JCM 1880 in a complex medium containing glucose and polypeptone yields 5-benzyl-7(R)-hydroxy-5-azaspiro[2.4]heptan-4-one (VIII), which by reaction with triphenylphosphine, diethyl azodicarboxylate and diphenylphosphoryl azide (DPPA) followed by reduction with LiAlH4, is converted into 7(S)-amino-5-benzyl-5-azaspiro[2.4]heptane (IX). The protection of (IX) with tert-butoxycarbonyl anhydride as usual gives the protected amine (X), which is finally debenzylated by hydrogenation with H2 over Pd/C in ethanol affording the desired 7(S)-(tert-butoxycarbonylamino)-5-azaspiro[2.4]heptane (XI).

Drug Information Express,Drug R&D,Chemical Database,Patent Search.
Copyright © 2006-2026 Drug Future. All rights reserved.Contact Us