【药物名称】Irbesartan, BMS-186295, SR-47436, Avapro, Karvea, Aprovel
化学结构式(Chemical Structure):
参考文献No.15863
标题:Heterocyclic N-substd. derivs., their preparation and the pharmaceutical compsns. containing them
作者:Bernhart, C.; Breliere, J.-C.; Clement, J.; Nisato, D.; Perreaut, P. (Sanofi-Synth閘abo )
来源:EP 0454511; FR 2659967; FR 2665702; JP 1992506222; JP 1998279566; US 5270317; WO 9114679
合成路线图解说明:

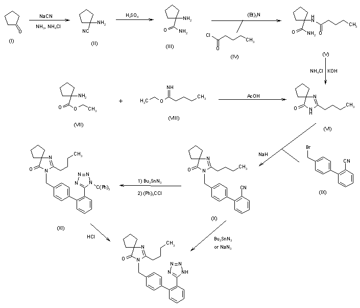
The reaction of cyclopentanone (I) with sodium cyanide, NH3 and NH4Cl in hot methanol/water gives 1-aminocyclopentanecarbonitrile (II), which is partially hydrolyzed with concentrated H2SO4 to the corresponding amide (III). The acylation of (III) with pentanoyl chloride (IV) by means of triethylamine in THF yields 1-(pentanamido)cyclopentane-1-carboxamide (V), which, without isolation, is cyclized by means of KOH in refluxing methanol/water to afford 2-butyl-1,3-diazaspiro[4.4]non-1-en-4-one (VI). This compound (VI) can also be obtained by cyclization of 1-aminocyclopentanecarboxylic acid ethyl ester (VII) with pentanimidic ethyl ester (VIII) by means of acetic acid in refluxing xylene. The condensation of (VI) with 4'-(bromomethyl)biphenyl-2-carbonitrile (IX) by means of NaH in DMF gives 4'-(2-butyl-4-oxo-1,3-diazaspiro[4.4]non-1-en-3-ylmethyl)biphenyl-2-carbonitrile (X). Cyclization of (X) with tributyltin azide in refluxing xylene, followed by reaction with trityl chloride in DMF, affords 2-butyl-3-[2'-[1-(triphenylmethyl)tetrazol-5-yl]biphenyl-4-ylmethyl]-1,3-diazaspiro[4.4]non-1-en-4-one (XI). Finally, this compound is hydrolyzed to irbesartan with HCl in methanol/THF. The final cyclization of (X) with tributyltin azide or sodium azide also directly gives irbesartan.

参考文献No.33922
标题:Method for the preparation of a tetrazole deriv. under two crystalline forms and novel crystalline form of this deriv
作者:Caron, A.; Chantreux, D.; Bouloumie, C. (Sanofi-Synth閘abo )
来源:EP 0708103
合成路线图解说明:

The reaction of cyclopentanone (I) with sodium cyanide, NH3 and NH4Cl in hot methanol/water gives 1-aminocyclopentanecarbonitrile (II), which is partially hydrolyzed with concentrated H2SO4 to the corresponding amide (III). The acylation of (III) with pentanoyl chloride (IV) by means of triethylamine in THF yields 1-(pentanamido)cyclopentane-1-carboxamide (V), which, without isolation, is cyclized by means of KOH in refluxing methanol/water to afford 2-butyl-1,3-diazaspiro[4.4]non-1-en-4-one (VI). This compound (VI) can also be obtained by cyclization of 1-aminocyclopentanecarboxylic acid ethyl ester (VII) with pentanimidic ethyl ester (VIII) by means of acetic acid in refluxing xylene. The condensation of (VI) with 4'-(bromomethyl)biphenyl-2-carbonitrile (IX) by means of NaH in DMF gives 4'-(2-butyl-4-oxo-1,3-diazaspiro[4.4]non-1-en-3-ylmethyl)biphenyl-2-carbonitrile (X). Cyclization of (X) with tributyltin azide in refluxing xylene, followed by reaction with trityl chloride in DMF, affords 2-butyl-3-[2'-[1-(triphenylmethyl)tetrazol-5-yl]biphenyl-4-ylmethyl]-1,3-diazaspiro[4.4]non-1-en-4-one (XI). Finally, this compound is hydrolyzed to irbesartan with HCl in methanol/THF. The final cyclization of (X) with tributyltin azide or sodium azide also directly gives irbesartan.

参考文献No.189387
标题:Spiro-dihydro-imidazolones, a new class of non-peptide angiotensin II receptor antagonists
作者:Bernhart, C.; Clement, J.; Ferrari, B.; et al.
来源:12th Int Symp Med Chem (Sept 13-17, Basel) 1992,Abst P-084.A.
合成路线图解说明:

The reaction of cyclopentanone (I) with sodium cyanide, NH3 and NH4Cl in hot methanol/water gives 1-aminocyclopentanecarbonitrile (II), which is partially hydrolyzed with concentrated H2SO4 to the corresponding amide (III). The acylation of (III) with pentanoyl chloride (IV) by means of triethylamine in THF yields 1-(pentanamido)cyclopentane-1-carboxamide (V), which, without isolation, is cyclized by means of KOH in refluxing methanol/water to afford 2-butyl-1,3-diazaspiro[4.4]non-1-en-4-one (VI). This compound (VI) can also be obtained by cyclization of 1-aminocyclopentanecarboxylic acid ethyl ester (VII) with pentanimidic ethyl ester (VIII) by means of acetic acid in refluxing xylene. The condensation of (VI) with 4'-(bromomethyl)biphenyl-2-carbonitrile (IX) by means of NaH in DMF gives 4'-(2-butyl-4-oxo-1,3-diazaspiro[4.4]non-1-en-3-ylmethyl)biphenyl-2-carbonitrile (X). Cyclization of (X) with tributyltin azide in refluxing xylene, followed by reaction with trityl chloride in DMF, affords 2-butyl-3-[2'-[1-(triphenylmethyl)tetrazol-5-yl]biphenyl-4-ylmethyl]-1,3-diazaspiro[4.4]non-1-en-4-one (XI). Finally, this compound is hydrolyzed to irbesartan with HCl in methanol/THF. The final cyclization of (X) with tributyltin azide or sodium azide also directly gives irbesartan.

参考文献No.233290
标题:A new series of imidazolones: Highly specific and potent nonpeptide AT1 angiotensin II receptor antagonists
作者:Bernhart, C.A.; Perreaut, P.M.; Ferrari, B.P.; Muneaux, Y.A.; Assens, J.L.; Clement, J.; Haudricourt, F.; Muneaux, C.F.; Taillades, J.E.; Vigna, M.A.; et al.
来源:J Med Chem 1993,36(22),3371-80
合成路线图解说明:

The reaction of cyclopentanone (I) with sodium cyanide, NH3 and NH4Cl in hot methanol/water gives 1-aminocyclopentanecarbonitrile (II), which is partially hydrolyzed with concentrated H2SO4 to the corresponding amide (III). The acylation of (III) with pentanoyl chloride (IV) by means of triethylamine in THF yields 1-(pentanamido)cyclopentane-1-carboxamide (V), which, without isolation, is cyclized by means of KOH in refluxing methanol/water to afford 2-butyl-1,3-diazaspiro[4.4]non-1-en-4-one (VI). This compound (VI) can also be obtained by cyclization of 1-aminocyclopentanecarboxylic acid ethyl ester (VII) with pentanimidic ethyl ester (VIII) by means of acetic acid in refluxing xylene. The condensation of (VI) with 4'-(bromomethyl)biphenyl-2-carbonitrile (IX) by means of NaH in DMF gives 4'-(2-butyl-4-oxo-1,3-diazaspiro[4.4]non-1-en-3-ylmethyl)biphenyl-2-carbonitrile (X). Cyclization of (X) with tributyltin azide in refluxing xylene, followed by reaction with trityl chloride in DMF, affords 2-butyl-3-[2'-[1-(triphenylmethyl)tetrazol-5-yl]biphenyl-4-ylmethyl]-1,3-diazaspiro[4.4]non-1-en-4-one (XI). Finally, this compound is hydrolyzed to irbesartan with HCl in methanol/THF. The final cyclization of (X) with tributyltin azide or sodium azide also directly gives irbesartan.

参考文献No.407271
标题:Irbesartan
作者:Casas, A.; Merlos, M.; Casta馿r, J.
来源:Drugs Fut 1997,22(5),481
合成路线图解说明:

The reaction of cyclopentanone (I) with sodium cyanide, NH3 and NH4Cl in hot methanol/water gives 1-aminocyclopentanecarbonitrile (II), which is partially hydrolyzed with concentrated H2SO4 to the corresponding amide (III). The acylation of (III) with pentanoyl chloride (IV) by means of triethylamine in THF yields 1-(pentanamido)cyclopentane-1-carboxamide (V), which, without isolation, is cyclized by means of KOH in refluxing methanol/water to afford 2-butyl-1,3-diazaspiro[4.4]non-1-en-4-one (VI). This compound (VI) can also be obtained by cyclization of 1-aminocyclopentanecarboxylic acid ethyl ester (VII) with pentanimidic ethyl ester (VIII) by means of acetic acid in refluxing xylene. The condensation of (VI) with 4'-(bromomethyl)biphenyl-2-carbonitrile (IX) by means of NaH in DMF gives 4'-(2-butyl-4-oxo-1,3-diazaspiro[4.4]non-1-en-3-ylmethyl)biphenyl-2-carbonitrile (X). Cyclization of (X) with tributyltin azide in refluxing xylene, followed by reaction with trityl chloride in DMF, affords 2-butyl-3-[2'-[1-(triphenylmethyl)tetrazol-5-yl]biphenyl-4-ylmethyl]-1,3-diazaspiro[4.4]non-1-en-4-one (XI). Finally, this compound is hydrolyzed to irbesartan with HCl in methanol/THF. The final cyclization of (X) with tributyltin azide or sodium azide also directly gives irbesartan.

Drug Information Express,Drug R&D,Chemical Database,Patent Search.
Copyright © 2006-2026 Drug Future. All rights reserved.Contact Us