【药物名称】Grepafloxacin hydrochloride, OPC-17116, Vaxar, Raxar, Lungaskin
化学结构式(Chemical Structure):
参考文献No.9218
标题:Benzoheterocyclic cpds
作者:Ueda, H.; Miyamoto, H.; Yamashita, H.; Tone, H. (Otsuka Pharmaceutical Co., Ltd.)
来源:EP 0287951; EP 0565132; JP 1989230558; JP 1995138232; JP 1995165636; US 5563138; US 5591744
合成路线图解说明:

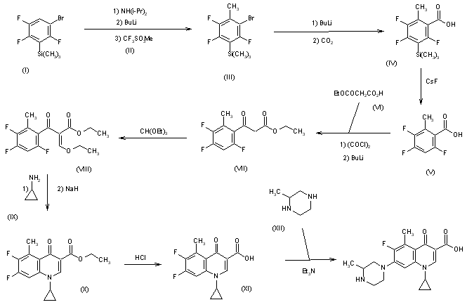
The methylation of 1-bromo-2,4,5-trifluoro-3-(trimethylsilyl)benzene (I) with methyl trifluoromethylsulfonate (II) by means of diisopropylamine and butyllithium in THF gives 2-bromo-3,5,6-trifluoro-4-(trimethylsilyl)toluene (III), which is carbonated with butyllithium and CO2 in ether to yield 2,4,5-trifluoro-6-methyl-3-(trimethylsilyl)benzoic acid (IV). Elimination of the silyl group with CsF in acetonitrile affords the corresponding benzoic acid (V). The condensation of (V) with malonic acid monoethyl ester (VI) by means of oxalyl chloride and butyllithium in THF affords 3-(3,4,6-trifluoro-2-methylphenyl)-2-oxopropionic acid ethyl ester (VII), which by condensation with triethyl orthoformate in refluxing acetic anhydride is converted into the ethoxymethylene derivative (VIII). The cyclization of (VIII) with cyclopropylamine (IX) by means of sodium hydride in THF gives 1-cyclopropyl-6,7-difluoro-5-methyl-4-oxo-1,4-dihydroquinoline-3-carboxylic acid ethyl ester (X), which is hydrolyzed with refluxing 6N HCl to yield the corresponding free acid (XI) (1). Finally, this compound is condensed with 2-methylpiperazine (XII) by means of triethylamine in refluxing acetonitrile.

参考文献No.151490
标题:Synthesis and biological activity of 5-alkyl-1,7,8-trisubstituted-6-fluoroquinoline-3-carboxylic acids
作者:Heifetz, C.L.; Johnson, J.; Hagen, S.E.; Domagala, J.M.
来源:J Med Chem 1991,34(3),1155
合成路线图解说明:

The methylation of 1-bromo-2,4,5-trifluoro-3-(trimethylsilyl)benzene (I) with methyl trifluoromethylsulfonate (II) by means of diisopropylamine and butyllithium in THF gives 2-bromo-3,5,6-trifluoro-4-(trimethylsilyl)toluene (III), which is carbonated with butyllithium and CO2 in ether to yield 2,4,5-trifluoro-6-methyl-3-(trimethylsilyl)benzoic acid (IV). Elimination of the silyl group with CsF in acetonitrile affords the corresponding benzoic acid (V). The condensation of (V) with malonic acid monoethyl ester (VI) by means of oxalyl chloride and butyllithium in THF affords 3-(3,4,6-trifluoro-2-methylphenyl)-2-oxopropionic acid ethyl ester (VII), which by condensation with triethyl orthoformate in refluxing acetic anhydride is converted into the ethoxymethylene derivative (VIII). The cyclization of (VIII) with cyclopropylamine (IX) by means of sodium hydride in THF gives 1-cyclopropyl-6,7-difluoro-5-methyl-4-oxo-1,4-dihydroquinoline-3-carboxylic acid ethyl ester (X), which is hydrolyzed with refluxing 6N HCl to yield the corresponding free acid (XI) (1). Finally, this compound is condensed with 2-methylpiperazine (XII) by means of triethylamine in refluxing acetonitrile.

参考文献No.170277
标题:OPC-17116
作者:Casta馿r, J.; Prous, J.
来源:Drugs Fut 1992,17(4),286
合成路线图解说明:

The methylation of 1-bromo-2,4,5-trifluoro-3-(trimethylsilyl)benzene (I) with methyl trifluoromethylsulfonate (II) by means of diisopropylamine and butyllithium in THF gives 2-bromo-3,5,6-trifluoro-4-(trimethylsilyl)toluene (III), which is carbonated with butyllithium and CO2 in ether to yield 2,4,5-trifluoro-6-methyl-3-(trimethylsilyl)benzoic acid (IV). Elimination of the silyl group with CsF in acetonitrile affords the corresponding benzoic acid (V). The condensation of (V) with malonic acid monoethyl ester (VI) by means of oxalyl chloride and butyllithium in THF affords 3-(3,4,6-trifluoro-2-methylphenyl)-2-oxopropionic acid ethyl ester (VII), which by condensation with triethyl orthoformate in refluxing acetic anhydride is converted into the ethoxymethylene derivative (VIII). The cyclization of (VIII) with cyclopropylamine (IX) by means of sodium hydride in THF gives 1-cyclopropyl-6,7-difluoro-5-methyl-4-oxo-1,4-dihydroquinoline-3-carboxylic acid ethyl ester (X), which is hydrolyzed with refluxing 6N HCl to yield the corresponding free acid (XI) (1). Finally, this compound is condensed with 2-methylpiperazine (XII) by means of triethylamine in refluxing acetonitrile.

参考文献No.336072
标题:Synthesis of possible metabolites of 1-cyclopropyl-1,4-dihydro-6-fluoro-5-methyl-7-(3-methyl-1-piperazinyl)-4-oxo-3-quinolinecarboxylic acid (grepafloxacin, OPC-17116)
作者:Morita, S.; Otsubo, K.; Matsubara, J.; Ohtani, T.; Kawano, Y.; Ohmori, K.; Ohguro, K.; Uchida, M.
来源:Chem Pharm Bull 1995,43(12),2246
合成路线图解说明:

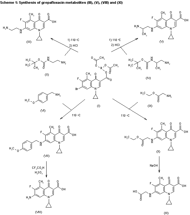
The syntheses of the metabolites of grepafloxacin, 7-(2-aminoethylamino)-1-cyclopropyl-6-fluoro-5-methyl-4-oxo-1,4-dihydro quinoline-3-carboxylic acid (III), 7-(2-aminopropylamino)-1-cyclopropyl-6-fluoro-5-methyl-4-oxo-1,4-dihydr oquinoline-3-carboxylic acid (V), 7-amino-1-cyclopropyl-6-fluoro-5-methyl-4-oxo-1,4-dihydroquinoline-3-ca rboxylic acid (VIII), 7-(carboxymethylamino)-1-cyclopropyl-6-fluoro-5-methyl-4-oxo-1,4-dihydr oquinoline-3-carboxylic acid (XI), 1-cyclopropyl-6-fluoro-5-(hydroxymethyl)-7-(3-methylpiperazin-1-yl)-4-o xo-1,4-dihydroquinoline-3-carboxylic acid (XVIII) and 7-amino-1-cyclopropyl-6-fluoro-5-(hydroxymethyl)-4-oxo-1,4-dihydroquino line-3-carboxylic acid (XX) have been reported: 1) Compound (III): By condensation of 7-bromo-1-cyclopropyl-6-fluoro-5-methyl-4-oxo-1,4-dihydroquinoline-3-ca rboxylic acid diacetoxyborane ester (I) with 2-(tert-butoxycarbonylamino)ethylamine (II) by heating at 110 C followed by a treatment with HCl in ethanol/water. 2) Compound (V): By condensation of quinolone (I) with 2-(tert-butoxycarbonylamino)ethylamine (IV) by heating at 110 C, followed by hydrolysis with HCl as before. 3) Compound (VIII): The condensation of quinolone (I) with 4-methoxybenzylamine (VII) by heating at 110 C gives 1-cyclopropyl-6-fluoro-7-(4-methoxybenzylamino)-5-methyl-4-oxo-1,4-dihy droquinoline-3-carboxylic acid (VII), which is then debenzylated by treatment with a mixture of trifluoroacetic acid and concentrated sulfuric acid. 4) Compound (XI): The condensation of quinolone (I) with glycine ethyl ester (IX) by heating at 110 C gives 1-cyclopropyl-7-(ethoxycarbonylmethylamino)-6-fluoro-5-methyl-4-oxo-1,4-dihydroquinoline-3-carboxylic acid (X), which is then saponified with NaOH in refluxing ethanol.

合成路线图解说明:

5) Compound (XVIII): The esterification of 7-bromo-1-cyclopropyl-6-fluoro-5-methyl-4-oxo-1,4-dihydroquinoline-3-ca rboxylic acid (XII) with SOCl2/methanol gives the corresponding methyl ester (XIII), which is brominated with N-bromosuccinimide (NBS) and benzoyl peroxide (BPO) in refluxing CCl4 yielding the corresponding bromomethyl derivative (XIV). The reaction of (XIV) with sodium acetate in hot DMF affords the expected acetoxymethyl derivative (XV), which is saponified with K2CO3 in methanol/water to give 1-cyclopropyl-6-fluoro-5-(hydroxymethyl)-4-oxo-1,4-dihydroquinoline-3-c arboxylic acid (XVI). Finally, this compound is condensed with 2-methylpiperazine (XVII) by heating at 110 C. 6) Compound (XX): The condensation of the hydroxymethylquinolone (XVI) with the benzylamine (VI) as before gives 6-fluoro-5-(hydroxymethyl)-4-(4-methoxybenzylamino)-4-oxo-1,4-dihydroqu inoline-3-carboxylic acid (XIX), which is then debenzylated with trifluoroacetic acid an H2SO4 as before.

Drug Information Express,Drug R&D,Chemical Database,Patent Search.
Copyright © 2006-2026 Drug Future. All rights reserved.Contact Us