【药物名称】Sirolimus, Rapamycin, Wy-090217, AY-22989, Rapamune
化学结构式(Chemical Structure):
参考文献No.233661
标题:Total synthesis of rapamycin
作者:Nicolaou, K.C.; Chakraborty, T.K.; Piscopio, A.D.; Minowa, N.; Bertinato, P.
来源:J Am Chem Soc 1993,115(10),4419
合成路线图解说明:

The total synthesis of rapamycin has been performed by initial condensation of two previously synthesized intermediates, the carboxylic acid (I) (scheme 17565203b) and the piperidine (II) (scheme 17565203c), by means of diisopropylcarbodiimide (DIC) and 1-hydroxybenzotriazole (HBT) in dichloromethane to the acylated piperidine (III). The two free hydroxyl groups of (III) are oxidized with oxalyl chloride in DMSO/dichloromethane to the triketone (IV), which is selectively deprotected with HF - pyridine in THF and oxidized again with oxalyl chloride to the hexacarbonyl compound (V). The full deprotection of (V) with HF in acetonitrile produces the simultaneous cyclization of the tetrahydropyran ring, yielding (VI), which is finally cyclized to rapamycin with the distannane (VII) by means of diisopropylethylamine (IEN) and palladium dichloride acetonitrile complex in DMF/THF. (1,2)

合成路线图解说明:

The intermediates (I) and (II) are synthesized as follows: Intermediate (I): The carboxylic acid (VIII) is condensed with N-methoxy-N-methylamine by means of dicyclohexylcarbodiimide (DCC) in dichloromethane to the amide (IX), which is treated with the vinyl iodide (X) and butyllithium in ethyl ether to yield the ketone (XI). The reduction of (XI) with LiAlH4 followed by methylation with MeI and NaH in DMF affords the methoxy compound (XII), which by treatment with camphorsulfonic acid (CSA), triethylamine and K2CO3 in methanol is converted to the epoxide (XIII). The condensation of (XIII) with the iodo ether (XIV) by means of butyllithium followed by silylation with triisopropylsilyl trifluoromethanesulfonate in dichloromethane and iodination with N-iodosuccinimide (NIS) in THF gives the protected triol (XV), which is selectively oxidized with 2,3-dichloro-5,6-dicyano-1,4-benzoquinone (DDQ) and oxalyl chloride in DMSO/dichloromethane, yielding the aldehyde (XVI). The condensation of (XVI) with the oxazolidinone (XVII) by means of tributylboron trifluoromethanesulfonate in toluene/dichloromethane affords compound (XVIII), which is treated with LiOH and H2O2 in THF/water. The resulting free acid is methylated with diazomethane, and the free hydroxyl group is acetylated with acetic anhydride to the acetoxy ester (XIX). Finally, (XIX) is hydrolyzed with LiOH in methanol/water to afford intermediate (I) (see A.D. Piscopio et al., J Chem Soc Chem Commun 1993, 7: 617). (1,2)

合成路线图解说明:

Intermediate (II): Compound (II) is obtained starting from two new previously synthesized intermediates, the oxazolidinone (XX) (scheme 17565203d) and the aldehyde (XXI) (scheme 17565203e), which are condensed by means of dibutylboron trifluoromethanesulfonate in dichloromethane to give compound (XXII), which is reduced first with LiBH4, tosylated with tosyl chloride and reduced again with lithium triethylborohydride in THF to yield compound (XXIII). The esterification of (XXIII) with the piperidine-2-carboxylic acid (XXIV) by means of DIC in dichloromethane followed by iodination of the terminal vinyl group by means of OsO4-catalyzed diol formation - Pb(OAc)4 cleavage, followed by CrCl2-mediated iodo-olefination with triiodomethane in THF/dioxane, affords the iodovinyl ester (XXV). Finally, (XXV) is debenzylated with DDQ in CHCl3 and silylated with triethylsilyl trifluoromethanesulfonate in dichloromethane to afford intermediate (II) (see K.C. Nicolau et al., J Chem Soc Chem Commun 1993, 7: 619). (1,2)

合成路线图解说明:

The new intermediates, the oxazolidinone (XX) and the aldehyde (XXI), are obtained as follows: Oxazolidinone (XX): The ring opening of cyclohexane epoxide (XXVI) with methanol and CSA followed by silylation with tert-butyldimethylsilyl trifluoromethanesulfonate in dichloromethane gives compound (XXVII), which is debenzylated by hydrogenolysis and oxidized with oxalyl chloride to the cyclohexanone (XXVIII). Dehydrogenation of (XXVIII) by treatment with lithium diiosopropylamide (LDA), tosyl chloride and palladium diacetate yields the cyclohexenone (XXIX), which is reduced with LiBH4 - CeCl3 in methanol/THF to the cyclohexenol (XXX). The condensation of (XXX) with dimethylacetamide diethylacetal (XXXI) in refluxing xylene affords the cyclohexylacetamide (XXXII), which is reduced with lithium triethylborohydride in THF and with H2 over Pd/C in ethanol to give the cyclohexylethanol (XXXIII). The dehydration of (XXXIII) through a selenium derivative yields the vinyl compound (XXXIV), which is oxidized with ozone to the aldehyde (XXXV). Finally, the condensation of (XXXV) with the phosphonate (XXXVI) by means of IEN and LiCl in acetonitrile followed by a desilylation with HF and silylation with tert-butyldiphenylsilyl chloride in DMF yields the oxazolidinone (XX) (see K.C. Nicolau et al., J Chem Soc Chem Commun 1993, 7: 619). (1,2)

合成路线图解说明:

Aldehyde (XXI): The condensation of oxazolidinone (XXXVII) with aldehyde (XXXVIII) by means of dibutylboron trifluoromethanesulfonate in dichloromethane gives compound (XXXIX), which is reduced with LiBH4, tosyl chloride and lithium triethylborohydride as before, yielding the alcohol (XL). The deprotection of (XL) with tetrabutylammonium fluoride in THF followed by formation of a dioxane ring with p-methoxybenzaldehyde diethyl acetal and CSA in dichloromethane affords compound (XLI), which is submitted to a reductive ring opening with diiosbutylaluminum hydride in dichloromethane, followed by an oxidation with oxalyl chloride in DMSO/dichloromethane, yielding the aldehyde (XLII). The condensation of (XLII) with the unsaturated iodo compound (XLIII) by means of CrCl2 in DMSO gives the hydroxy derivative (XLIV), which is finally silylated with triisopropylsilyl trifluoromethanesulfonate in dichloromethane, selectively desilylated with HF - pyridine and oxidized with oxalyl chloride in DMSO/dichloromethane to the intermediate aldehyde (XXI) (see K.C. Nicolau et al., J Chem Soc Chem Commun 1993, 7: 619). The intermediate (XLIII) is prepared by ozonolysis of the protected unsaturated diol (XLV), followed by reaction with dimethylsulfide and tetrabromomethane - triphenylphosphine to obtain an acetylenic intermediate, which is methylated with butyllithium and methyl iodide to the acetylene (XLVI). Finally, this compound is iodinated with iodine and (cyclopentadienyl)2ZrHCl in dichloromethane to the intermediate (XLIII) (see K.C. Nicolau et al., J Chem Soc Chem Commun 1993, 7: 619). (1,2)

参考文献No.274245
标题:Rapamycin synthetic studies. 1. Construction of the C(27)-C(42) subunit
作者:Leahy, J.W.; Smith, A.B.; McCauley, J.A.; Condon, S.M.; Leazer, J.L.; Maleczka, R.E.
来源:Tetrahedron Lett 1994,35(28),4907
合成路线图解说明:

A partial synthesis of rapamycin has been reported: The condensation of sulfone (I) with epoxide (II) by means of butyllithium followed by desulfonation with Na/Hg gives the partially protected diol (III), which is treated with methanesulfonyl chloride and NaH to afford the epoxide (IV). Ring opening of epoxide (IV) with LiI and BF3.Et2O followed by protection of the resulting alcohol with PMBOC(NH)CCl3 yields the primary iodo compound (V). The condensation of (V) with the fully protected dihydroxyaldehyde (VI) (see later) by means of butyllithium in THF/HMPT gives the fully protected trihydroxyketone (VII), which is hydrolyzed with camphorsulfonic acid (CSA) to the corresponding gemdiol and reprotected with pivaloyl chloride (the primary alcohol) and tert-butyldimethylsilyl trifluoromethanesulfonate (the secondary alcohol), yielding a new fully protected trihydroxyketone (VIII). Elimination of the pivaloyl group with DIBAL and the dithiane group with MeI/CaCO3 affords the hydroxyketone (IX), which is finally oxidized with oxalyl chloride to the ketoaldehyde (X), the C(27)-C(42) fragment [the C(12)-C(15) fragment with the C(12)-substituent based on the IUPAC nomenclature recommendations]. The fully protected dihydroxyaldehyde (VI) is obtained as follows: The reaction of methyl 3-hydroxy-2(R)-methylpropionate (XI) with BPSCl followed by reduction with LiBH4 to the corresponding alcohol and oxidation with oxalyl chloride gives the aldehyde (XII), which is protected with propane-1,3-dithiol and BF3.Et2O to afford the dithiane compound (XIII). Elimination of the silyl group with TBAF followed by esterification with tosyl chloride, reaction with NaI and, finally, with sodium phenylsulfinate gives the sulfone (XIV), which is condensed with the partially protected dihydroxyaldehyde (XV), oxidized with oxalyl chloride and desulfonated with Al/Hg to afford the dithianyl ketone (XVI). The reaction of (XVI) with lithium hexamethyldisilylazane gives the corresponding enolate, which is treated with dimethyllithium cuprate to yield the fully protected unsaturated dihydroxyaldehyde (VI).

参考文献No.274247
标题:Rapamycin synthetic studies. 2. Elaboration of the C(10)-C(26) perimeter
作者:Maleczka, R.E.; Condon, S.M.; Leazer, J.L.; McCauley, J.A.; Smith, A.B.; Leahy, J.W.
来源:Tetrahedron Lett 1994,35(28),4911
合成路线图解说明:

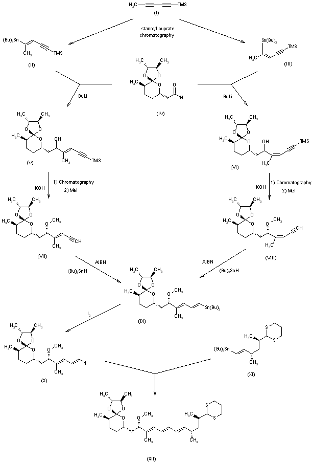
A partial synthesis of rapamycin has been reported: The reaction of 1-(trimethylsilyl)-1,3-pentadiyne (I) with a stannyl cuprate gives a mixture of (E)- and (Z)-stannyl derivatives (II) and (III) [the ratio (II)/(III) depends on the stannyl cuprate used]. Both compounds, after chromatographic separation, are condensed with the chiral aldehyde (IV) by means of butyllithium to afford the alcohols (V) and (VI), respectively. By chromatographic separation of the corresponding (S)-isomers, these are methylated and deprotected with methyl iodide and KOH, yielding the (E)- and (Z)-isomeric terminal acetylenes (VII) and (VIII). The reaction of either (VII) or (VIII) with tributylstannyl hydride and AIBN in refluxing toluene gives in both cases the (E,E)-dienylstannane (IX), which by reaction with I2 in dichloromethane affords the (E,E)-dienyl iodide (X). Finally, this compound is condensed with the vinyl iodide (XI) (see later) by means of PdCl2 in DMF to yield (XII), the protected C(10)-C(26) fragment of rapamycin [the C(20)-C(35)-C(1)-O(36) fragment based on the IUPAC nomenclature recommendations].

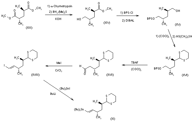
合成路线图解说明:

The vinyl stannane fragment (XI) of the preceding synthesis (scheme 1756502a) is obtained as follows: Treatment of the meso-2,3-dimethylglutaric acid dimethyl ester (XIII) with alpha-chymotrypsin followed by reduction with borane.dimethylsulfide gives the chiral hydroxy ester (XIV), which is protected with BPSCl and the ester group reduced with DIBAL to afford the partially protected diol (XV). The oxidation of (XV) with oxalyl chloride and protection of the resulting aldehyde with propane-1,3-dithiol give the dithiane (XVI), which is deprotected with TBAF and oxidized with oxalyl chloride to yield the aldehyde (XVII). The olefination of (XVII) with methyl iodide and CrCl2 affords the trans-vinyl iodide (XVIII), which is finally treated with butyllithium and tributylstannyl bromide in ethyl ether to give the vinyl stannane fragment (XI).

参考文献No.310748
标题:Total synthesis of rapamycin and demethoxyrapamycin
作者:McCauley, J.A.; Leahy, J.W.; Smith, A.B.; Leazer, J.L.; Maleczka, R.E.; Condon, S.M.
来源:J Am Chem Soc 1995,117(19),5407
合成路线图解说明:

A total synthesis of rapamycin has been described: The condensation of the iodo-compound (I) with dithiane (II) by means of tert-butyllithium in THF followed by elimination of the acetal group with trichloroacetic acid gives the aldehyde (III), which is condensed with the dithiane (IV) by means of tert-butyllithium in THF, and the resulting compound methylated with NaH and methyl iodide to afford the acetal (V) as a diastereomeric mixture (in the newly formed methoxy group) that was resolved by flash chromatography. The sequential reaction of (V) first with p-toluenesulfonic acid to hydrolyze the acetal group, and then with CBr4 in THF/HMPT and finally with butyllithium in THF gives the terminal acetylene derivative (VI). Elimination of the dithiane and PMB groups, and reaction with tributyl tin hydride affords the trans-vinylene alcohol (VII), which is esterified with piperidine carboxylic acid (VIII) by means of 1-[3-(dimethylamino)propyl]-3-ethylcarbodiimide (EDC) and DMAP in dichloromethane yielding the condensation ester (IX). Finally, this compound is submitted to an intramolecular Stille cyclization with the tris(2-furyl)phosphine palladium dichloride complex in DMF/THF, which after desilylation with tetrabutylammonium fluoride (TBAF) and HF.pyridine afforded rapamycin.

合成路线图解说明:

The intermediate piperidine carboxylic acid (VIII) was obtained as follows: The acetylene orthoester (X) was submitted sequentially to hydrolysis with acetic acid, silylation with TBS-Cl, reduction with DIBAL and Swern oxidation to give the acetylenic aldehyde (XI), which was condensed with 1-acetylpiperidine-2-carboxylic acid (XII), and the resulting compound was esterified with diazomethane, submitted to a Dess-Martin oxidation yielding a tricarbonyl compound that, without isolation was desilylated with HF yielding the cyclic hemiketal (XIII). This hemiketal was silylated with TES-triflate and submitted to hydrostannylation with tributyl tin hydride and AIBN, and tin - iodine exchange with I2/LiI in pyridine at 130 C to afford the desired (E,E)-divinylene iodide fragment (VIII). The syntheses of the starting fragments (I), (II), (IV), (X) and (XII) has already been reported (see Smith, A.B. et al. Tetrahedron Lett 1994, 35(28): 4907 and Smith, A.B. et al. Tetrahedron Lett 1994, 35(28): 4911).

参考文献No.785620
标题:Total Synthesis of Rapamycin
作者:Nicolaou, K.C.; Piscopio, A.D.; Bertinato, P.; Chakraborty, T.K.; Minowa, N.; Koide, K.
来源:Chemistry (Weinheim) 1995,1(5),318
合成路线图解说明:

The total synthesis of rapamycin has been performed by initial condensation of two previously synthesized intermediates, the carboxylic acid (I) (scheme 17565203b) and the piperidine (II) (scheme 17565203c), by means of diisopropylcarbodiimide (DIC) and 1-hydroxybenzotriazole (HBT) in dichloromethane to the acylated piperidine (III). The two free hydroxyl groups of (III) are oxidized with oxalyl chloride in DMSO/dichloromethane to the triketone (IV), which is selectively deprotected with HF - pyridine in THF and oxidized again with oxalyl chloride to the hexacarbonyl compound (V). The full deprotection of (V) with HF in acetonitrile produces the simultaneous cyclization of the tetrahydropyran ring, yielding (VI), which is finally cyclized to rapamycin with the distannane (VII) by means of diisopropylethylamine (IEN) and palladium dichloride acetonitrile complex in DMF/THF. (1,2)

合成路线图解说明:

The intermediates (I) and (II) are synthesized as follows: Intermediate (I): The carboxylic acid (VIII) is condensed with N-methoxy-N-methylamine by means of dicyclohexylcarbodiimide (DCC) in dichloromethane to the amide (IX), which is treated with the vinyl iodide (X) and butyllithium in ethyl ether to yield the ketone (XI). The reduction of (XI) with LiAlH4 followed by methylation with MeI and NaH in DMF affords the methoxy compound (XII), which by treatment with camphorsulfonic acid (CSA), triethylamine and K2CO3 in methanol is converted to the epoxide (XIII). The condensation of (XIII) with the iodo ether (XIV) by means of butyllithium followed by silylation with triisopropylsilyl trifluoromethanesulfonate in dichloromethane and iodination with N-iodosuccinimide (NIS) in THF gives the protected triol (XV), which is selectively oxidized with 2,3-dichloro-5,6-dicyano-1,4-benzoquinone (DDQ) and oxalyl chloride in DMSO/dichloromethane, yielding the aldehyde (XVI). The condensation of (XVI) with the oxazolidinone (XVII) by means of tributylboron trifluoromethanesulfonate in toluene/dichloromethane affords compound (XVIII), which is treated with LiOH and H2O2 in THF/water. The resulting free acid is methylated with diazomethane, and the free hydroxyl group is acetylated with acetic anhydride to the acetoxy ester (XIX). Finally, (XIX) is hydrolyzed with LiOH in methanol/water to afford intermediate (I) (see A.D. Piscopio et al., J Chem Soc Chem Commun 1993, 7: 617). (1,2)

合成路线图解说明:

Intermediate (II): Compound (II) is obtained starting from two new previously synthesized intermediates, the oxazolidinone (XX) (scheme 17565203d) and the aldehyde (XXI) (scheme 17565203e), which are condensed by means of dibutylboron trifluoromethanesulfonate in dichloromethane to give compound (XXII), which is reduced first with LiBH4, tosylated with tosyl chloride and reduced again with lithium triethylborohydride in THF to yield compound (XXIII). The esterification of (XXIII) with the piperidine-2-carboxylic acid (XXIV) by means of DIC in dichloromethane followed by iodination of the terminal vinyl group by means of OsO4-catalyzed diol formation - Pb(OAc)4 cleavage, followed by CrCl2-mediated iodo-olefination with triiodomethane in THF/dioxane, affords the iodovinyl ester (XXV). Finally, (XXV) is debenzylated with DDQ in CHCl3 and silylated with triethylsilyl trifluoromethanesulfonate in dichloromethane to afford intermediate (II) (see K.C. Nicolau et al., J Chem Soc Chem Commun 1993, 7: 619). (1,2)

合成路线图解说明:

The new intermediates, the oxazolidinone (XX) and the aldehyde (XXI), are obtained as follows: Oxazolidinone (XX): The ring opening of cyclohexane epoxide (XXVI) with methanol and CSA followed by silylation with tert-butyldimethylsilyl trifluoromethanesulfonate in dichloromethane gives compound (XXVII), which is debenzylated by hydrogenolysis and oxidized with oxalyl chloride to the cyclohexanone (XXVIII). Dehydrogenation of (XXVIII) by treatment with lithium diiosopropylamide (LDA), tosyl chloride and palladium diacetate yields the cyclohexenone (XXIX), which is reduced with LiBH4 - CeCl3 in methanol/THF to the cyclohexenol (XXX). The condensation of (XXX) with dimethylacetamide diethylacetal (XXXI) in refluxing xylene affords the cyclohexylacetamide (XXXII), which is reduced with lithium triethylborohydride in THF and with H2 over Pd/C in ethanol to give the cyclohexylethanol (XXXIII). The dehydration of (XXXIII) through a selenium derivative yields the vinyl compound (XXXIV), which is oxidized with ozone to the aldehyde (XXXV). Finally, the condensation of (XXXV) with the phosphonate (XXXVI) by means of IEN and LiCl in acetonitrile followed by a desilylation with HF and silylation with tert-butyldiphenylsilyl chloride in DMF yields the oxazolidinone (XX) (see K.C. Nicolau et al., J Chem Soc Chem Commun 1993, 7: 619). (1,2)

合成路线图解说明:

Aldehyde (XXI): The condensation of oxazolidinone (XXXVII) with aldehyde (XXXVIII) by means of dibutylboron trifluoromethanesulfonate in dichloromethane gives compound (XXXIX), which is reduced with LiBH4, tosyl chloride and lithium triethylborohydride as before, yielding the alcohol (XL). The deprotection of (XL) with tetrabutylammonium fluoride in THF followed by formation of a dioxane ring with p-methoxybenzaldehyde diethyl acetal and CSA in dichloromethane affords compound (XLI), which is submitted to a reductive ring opening with diiosbutylaluminum hydride in dichloromethane, followed by an oxidation with oxalyl chloride in DMSO/dichloromethane, yielding the aldehyde (XLII). The condensation of (XLII) with the unsaturated iodo compound (XLIII) by means of CrCl2 in DMSO gives the hydroxy derivative (XLIV), which is finally silylated with triisopropylsilyl trifluoromethanesulfonate in dichloromethane, selectively desilylated with HF - pyridine and oxidized with oxalyl chloride in DMSO/dichloromethane to the intermediate aldehyde (XXI) (see K.C. Nicolau et al., J Chem Soc Chem Commun 1993, 7: 619). The intermediate (XLIII) is prepared by ozonolysis of the protected unsaturated diol (XLV), followed by reaction with dimethylsulfide and tetrabromomethane - triphenylphosphine to obtain an acetylenic intermediate, which is methylated with butyllithium and methyl iodide to the acetylene (XLVI). Finally, this compound is iodinated with iodine and (cyclopentadienyl)2ZrHCl in dichloromethane to the intermediate (XLIII) (see K.C. Nicolau et al., J Chem Soc Chem Commun 1993, 7: 619). (1,2)

合成路线图解说明:

Synthesis of dysinosin A: The reaction of the commercially available D-mannitol derivative (XXVII) with NaH and MeI in DMF gives the dimethoxy compound (XXVIII), which is hydrogenated with H2 over Pd/C in EtOH/EtOAc to yield the dimethoxy-D-mannitol (XXIX). The selective silylation of the primary OH groups of (XXIX) with Tbdps-Cl and imidazole affords the bis silyl ether (XXX), which is submitted to an oxidative cleavage of its vicinal diol group by means of Pb(OAc)4 to provide 2(R)-methoxy-3-(Tbdps-O)propanal (XXXI) (3). The oxidation of (XXXI) with NaClO2 gives the corresponding carboxylic acid (XXXII), which is condensed with D-leucine benzyl ester (XXXIII) by means of EDC and HOBt in dichloromethane to yield adduct (XXXIV). The reductive cleavage of the benzyl group of (XXXIV) with H2 over Pd/C in methanol affords the substituted leucine (XXXV), which is condensed with the perhydroindole intermediate (XIII) by means of Bop-Cl and DIEA in acetonitrile to provide the amide (XXXVI). The hydrolysis of the methyl ester group of (XXXVI) with LiOH in THF/MeOH gives the carboxylic acid (XXXVII), which is condensed with the aminoethyl-3-pyrroline intermediate (XXVI) by means of EDC and HOBt in dichloromethane to yield the amide intermediate (XXXVIII). The cleavage of the silyl ether group of (XXXVIII) by means of TBAF in THF affords the primary alcohol (XXXIX), which is treated with Pyr/SO3 and Bu2SnO to provide the sulfate ester (XL). Finally, this compound is fully deprotected by means of TFA in dichloromethane and purified by means of preparative HPLC to obtain the target dysinosin A (2).

Drug Information Express,Drug R&D,Chemical Database,Patent Search.
Copyright © 2006-2026 Drug Future. All rights reserved.Contact Us