【药物名称】BMY-43351
化学结构式(Chemical Structure):
参考文献No.161506
标题:BMY 43351
作者:Russell, J.W.; Seiler, S.M.; Meanwell, N.A.; Fleming, J.S.
来源:Drugs Fut 1992,17(1),15
合成路线图解说明:

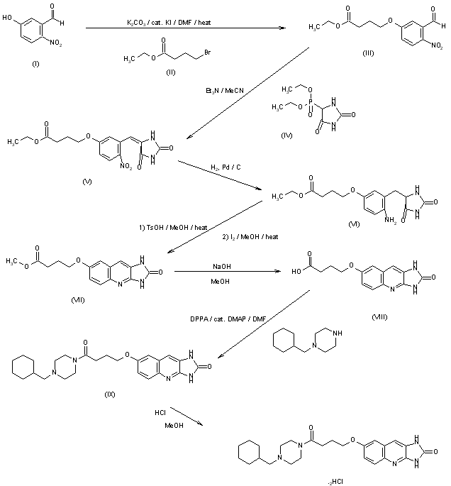
Alkylation of 5-hydroxy-2-nitrobenzaldehyde (I) with ethyl 4-bromobutyrate (II) in the presence of potassium carbonate at 110 C in DMF provided the aldehyde (III). Coupling of (III) with the phosphonate (IV) using triethylamine as the base afforded the unsaturated hydantoin derivative (V) as a mixture of geometrical isomers. Exhaustive catalytic hydrogenation of (V) over palladium on charcoal in DMF furnished the saturated aniline (VI), which underwent acid-catalyzed cyclization-dehydration in methanol at reflux, followed by oxidation upon addition of a molar equivalent of iodine to give the imidazo[4,5-b]quinoline derivative (VII). Alkaline hydrolysis of (VII) provided acid (VIII), which was coupled with N-cyclohexylmethylpiperazine, using diphenylphosphoryl azide in DMF at room temperature, to furnish BMY 43351 (IX). The dihydrochloride salt of (IX) was prepared by dissolution of the free base in a solution of 10% hydrogen chloride in methanol and subsequent precipitation with diethyl ether.

参考文献No.802027
标题:Diethyl 2,4-dioxoimidazolidine-5-phosphonates: Horner-Wadsworth-Emmons reagents for the mild and efficient preparations of C-5 unsaturated hydantoin derivatives
作者:Wedding, D.L.; Meanwell, N.A.; Roth, H.R.; Wright, J.J.K.; Smith, E.C.R.
来源:J Org Chem 1991,566897-904
合成路线图解说明:

Alkylation of 5-hydroxy-2-nitrobenzaldehyde (I) with ethyl 4-bromobutyrate (II) in the presence of potassium carbonate at 110 C in DMF provided the aldehyde (III). Coupling of (III) with the phosphonate (IV) using triethylamine as the base afforded the unsaturated hydantoin derivative (V) as a mixture of geometrical isomers. Exhaustive catalytic hydrogenation of (V) over palladium on charcoal in DMF furnished the saturated aniline (VI), which underwent acid-catalyzed cyclization-dehydration in methanol at reflux, followed by oxidation upon addition of a molar equivalent of iodine to give the imidazo[4,5-b]quinoline derivative (VII). Alkaline hydrolysis of (VII) provided acid (VIII), which was coupled with N-cyclohexylmethylpiperazine, using diphenylphosphoryl azide in DMF at room temperature, to furnish BMY 43351 (IX). The dihydrochloride salt of (IX) was prepared by dissolution of the free base in a solution of 10% hydrogen chloride in methanol and subsequent precipitation with diethyl ether.

Drug Information Express,Drug R&D,Chemical Database,Patent Search.
Copyright © 2006-2026 Drug Future. All rights reserved.Contact Us