【药物名称】Amidox, NSC-343341, VF-236
化学结构式(Chemical Structure):
参考文献No.154511
标题:Amidox
作者:Van't Riet, B.; Elford, H.L.
来源:Drugs Fut 1991,16(11),990
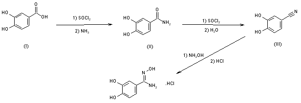
合成路线图解说明:

The synthesis of amidox starting from 3,4-dihydroxybenzoic acid (I) is outlined: The first reaction is between the carboxylic acid (I) and thionyl chloride in ethyl acetate as a solvent under reflux conditions for 24 hours. After removal of excess thionyl chloride by evaporation, the residue is dissolved in ethyl acetate and added to aqueous ammonia under cooling. Excess of ammonia is evaporated. Acidification with hydrochloric acid to pH = 4.5 causes 3,4-dihydroxybenzamide (II) to precipitate. The amide is dried and treated with thionyl chloride in ethyl acetate under reflux overnight. The solvent is removed and the residue is heated in water to 95 C until the evolution of sulfur dioxide ceases. On cooling, 4-cyanocatechol (III) precipitates. It is recrystallized from water after charcoal treatment. An aqueous solution of hydroxylamine is prepared from hydroxylamine sulfate and sodium hydroxide. To this solution a small quantity of sodium sulfite is added with (III) and the solution is heated at 45 C overnight. The solution should not be in direct contact with air under alkaline conditions. The free base of amidox precipitates. It is filtered off, washed with water, then dissolved in dilute hydrochloric acid (pH = 1.5). After charcoal treatment and filtration, the solution is evaporated under reduced pressure. The dry residue is dissolved in a small volume of methanol. After addition of ethyl acetate, no precipitate is formed, but on heating pure amidox precipitates.

Drug Information Express,Drug R&D,Chemical Database,Patent Search.
Copyright © 2006-2026 Drug Future. All rights reserved.Contact Us