【药物名称】Turosteride((-)-enantiomer), FCE-26073
化学结构式(Chemical Structure):
参考文献No.15514
标题:17beta-Substd.-4-aza-5alpha-androstan-3-one derivs. and process for their preparation
作者:Panzeri, A.; Di Salle, E.; Nesi, M. (Pharmacia Corp.)
来源:EP 0468012; JP 1992505462; US 5155107; WO 9112261
合成路线图解说明:

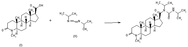
1) By the reaction of 4-methyl-3-oxo-4-aza-5alpha-androstane-17beta-carboxylic acid (I) with diisopropylcarbodiimide (II) in methylene chloride at room temperature.

合成路线图解说明:

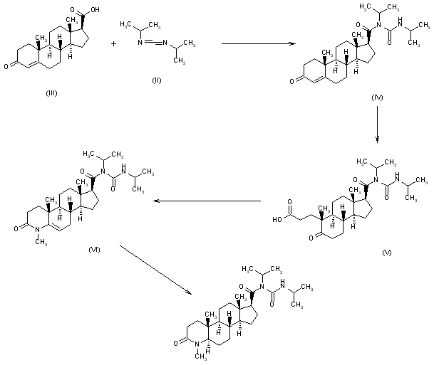
2) By the reaction of 3-oxoandrost-4-ene-17beta-carboxylic acid (III) with diisopropylcarbodiimide (II) in refluxing ethyl acetate and subsequent A-ring opening of compound (IV) by treatment with the Lamieux-von Rudloff reagent (permanganate-periodate) in isopropanol. The cyclization of the secoacid (V) so obtained, with methylamine in dioxane under pressure, followed by the hydrogenation under pressure, on 10% Pd/C in ethanol, affords turosteride. This method is used for the large scale production of turosteride.

参考文献No.204987
标题:Turosteride
作者:Di Sale, E.; Panzeri, A.
来源:Drugs Fut 1993,18(5),436
合成路线图解说明:

1) By the reaction of 4-methyl-3-oxo-4-aza-5alpha-androstane-17beta-carboxylic acid (I) with diisopropylcarbodiimide (II) in methylene chloride at room temperature.

合成路线图解说明:

2) By the reaction of 3-oxoandrost-4-ene-17beta-carboxylic acid (III) with diisopropylcarbodiimide (II) in refluxing ethyl acetate and subsequent A-ring opening of compound (IV) by treatment with the Lamieux-von Rudloff reagent (permanganate-periodate) in isopropanol. The cyclization of the secoacid (V) so obtained, with methylamine in dioxane under pressure, followed by the hydrogenation under pressure, on 10% Pd/C in ethanol, affords turosteride. This method is used for the large scale production of turosteride.

参考文献No.373055
标题:Synthesis of carbon-14 labelled 1-[4-methyl-3-oxo-4-aza-5alpha-androstane-17beta-carbonyl]-1,3-diisopropylurea (turosteride), a new 5alpha-reductase inhibitor
作者:Panzeri, A.; Dostert, P.; Angiuli, P.; Fontana, E.; Pignatti, A.
来源:J Label Compd Radiopharm 1996,38(7),667
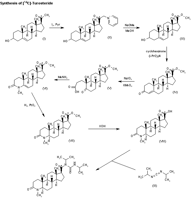
合成路线图解说明:

The synthesis of [14C]-turosteride has been reported: The reaction of 20-[14C]-3-hydroxy-5-pregnen-20-one (I) with iodine and pyridine gives the pyridinium derivative (II), which is treated with sodium methoxide and methanol yielding 3-hydroxy-5-androstene-17beta-carboxylic acid methyl ester (III). The oxidation of (III) with cyclohexanone and aluminum isopropoxide affords 3-oxo-5-androstene-17beta-carboxylic acid methyl ester (IV), which is oxidized with potassium permanganate and sodium periodate to the propionic acid derivative (V). The cyclization of (V) with methylamine in diglyme at 180 C affords 4-methyl-3-oxo-4-aza-5-androstene-17beta-carboxylic acid methyl ester (VI), which is hydrogenated with H2 over PtO2 in acetic acid to the corresponding saturated compound (VII). The saponification of (VII) with KOH in refluxing methanol/water gives the 4-methyl-3-oxo-4-aza-5alpha-androstane-17beta-carboxylic acid (VIII), which is finally condensed with diisopropylcarbodiimide (IX) in refluxing dichloromethane.

参考文献No.607698
标题:Azasteroids as inhibitors of rat prostatic 5alpha-reductase
作者:Rasmusson, H.G.; Reynolds, G.F.; Utne, T.; Jobson, R.B.; Primka, R.L.; Berman, C.; Brooks, J.R.
来源:J Med Chem 1984,27(12),1690-701
合成路线图解说明:

1) By the reaction of 4-methyl-3-oxo-4-aza-5alpha-androstane-17beta-carboxylic acid (I) with diisopropylcarbodiimide (II) in methylene chloride at room temperature.

Drug Information Express,Drug R&D,Chemical Database,Patent Search.
Copyright © 2006-2026 Drug Future. All rights reserved.Contact Us