【药物名称】Foropafant, SR-27417
化学结构式(Chemical Structure):
参考文献No.194703
标题:SR 27417, a highly potent, selective and long-acting antagonist of the PAF receptor
作者:Herbert, J.M.; Valette, G.; Bernat, A.; Savi, P.; Maffrand, J.P.; Le Fur, G.
来源:Drugs Fut 1992,17(11),1011
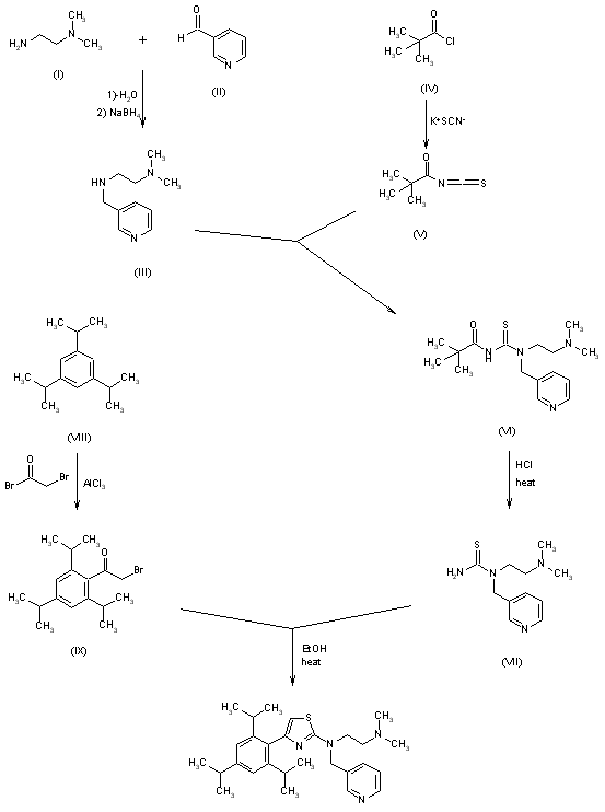
合成路线图解说明:

SR 27417 (N-(2-dimethylaminoethyl)-N-(3-pyridinylmethyl)[4-(2,4,6-triisopropylphenyl)thiazol-2-yl]amine difumarate) was prepared via a convergent route. Reductive amination of N,N-dimethylaminoethanamine (I) and pyridyl-3-carboxaldehyde (II) by sodium borohydride gave the amine (III). Eaction of pivaloyl chloride (IV) and potassium thiocyanate in anhydrous acetone provided the pivaloyl isothiocyanate (V), which was condensed in situ with the amine (III) to afford the protected thiourea (VI). Chlorhydric hydrolysis of (IV) gave the thiourea (VII) with the bromoketene (IX) in refluxing ethanol led to SR 27417.

Drug Information Express,Drug R&D,Chemical Database,Patent Search.
Copyright © 2006-2026 Drug Future. All rights reserved.Contact Us