【药物名称】Atevirdine mesylate, U-87201E
化学结构式(Chemical Structure):
参考文献No.163348
标题:Nonnucleoside reverse transcriptase inhibitors that potently and specifically block human immunodeficiency virus type 1 replication
作者:Romero, D.L.; Busso, M.; Tan, C.-K.; Reusser, F.; Palmer, J.R.; Poppe, S.M.; Aristoff, P.A.; Downey, K.M.; So, A.G.; Resnick, L.; et al.
来源:Proc Natl Acad Sci USA 1991,88(19),8806-10
合成路线图解说明:

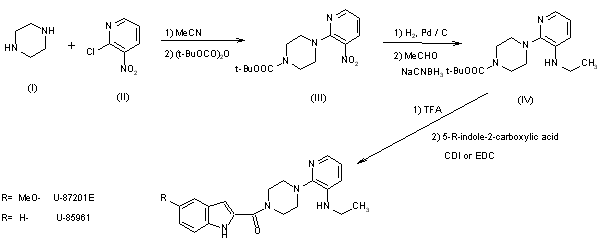
Nucleophilic aromatic substitution of 2-chloro-3-nitropyridine (II) with excess piperazine (I) in acetonitrile at room temperature produces 1-(3-nitro-2-pyridyl)piperazine. Protection of the free piperazine nitrogen by treatment with di-tert-butyldicarbonate affords nitropyridine (III). Reduction of the nitro group to the amine is accomplished via hydrogenation (40 psi) over palladium on carbon. Treatment of the aminopyridine with acetaldehyde and sodium cyanoborohydride in methanol affords the (ethylamino)pyridine (IV). Removal of the BOC protecting group with trifluoroacetic acid and coupling of the resulting 1-[3-(ethylamino)pyridyl]piperazine with 5-methoxyindole-2-carboxylic acid using 1-ethyl-3-(dimethylaminopropyl)carbodiimide (EDC) or 1,1'-carbonyldiimidazole (CDI) affords U-87201 (V). Dissolution of (V) in methanol, treatment with 1 eq of methanesulfonic acid, and the addition of diethyl ether results in the precipitation of atevirdine mesylate.

合成路线图解说明:

The synthesis of delavirdine mesylate is depicted in Scheme 19654001a: The first three chemical steps are the same as those used for the synthesis of atevirdine mesylate (ATV, U-87201E) (2, 3). Nucleophilic aromatic substitution of 2-chloro-3-nitropyridine (II) with excess piperazine in acetonitrile at room temperature produces 1-(3-nitro-2-pyridyl)piperazine. Protection of the free piperazine nitrogen by treatment with di-tert-butyldicarbonate affords nitropyridine (III). Reduction of the nitro group to the amine is accomplished via hydrogenation (40 psi) over palladium on carbon. Treatment of the aminopyridine with acetone and sodium cyanoborohydride in methanol affords the 3-(1-methylethylamino)pyridine (IV). Removal of the BOC protecting group with trifluoroacetic acid and coupling of the resulting 1-[3-(1-methylethylamino)pyridyl]piperazine with 5-nitroindole-2-carboxylic acid using 1-ethyl-3-(dimethylaminopropyl)carbodiimide (EDC) or 1,1'-carbonyldiimidazole (CDI) affords (V). Catalytic reduction of the nitro group and treatment of the resulting amine with methanesulfonyl chloride provides U-90152. Dissolution of U-90152 in acetonitrile and treatment with 1 eq of methanesulfonic acid results in the precipitation of delavirdine mesylate.

参考文献No.235297
标题:Atevirdine Mesylate
作者:Romero, D.L.
来源:Drugs Fut 1994,19(1),9
合成路线图解说明:

Nucleophilic aromatic substitution of 2-chloro-3-nitropyridine (II) with excess piperazine (I) in acetonitrile at room temperature produces 1-(3-nitro-2-pyridyl)piperazine. Protection of the free piperazine nitrogen by treatment with di-tert-butyldicarbonate affords nitropyridine (III). Reduction of the nitro group to the amine is accomplished via hydrogenation (40 psi) over palladium on carbon. Treatment of the aminopyridine with acetaldehyde and sodium cyanoborohydride in methanol affords the (ethylamino)pyridine (IV). Removal of the BOC protecting group with trifluoroacetic acid and coupling of the resulting 1-[3-(ethylamino)pyridyl]piperazine with 5-methoxyindole-2-carboxylic acid using 1-ethyl-3-(dimethylaminopropyl)carbodiimide (EDC) or 1,1'-carbonyldiimidazole (CDI) affords U-87201 (V). Dissolution of (V) in methanol, treatment with 1 eq of methanesulfonic acid, and the addition of diethyl ether results in the precipitation of atevirdine mesylate.

参考文献No.562891
标题:Production scale synthesis of the non-nucleoside recverse transcriptase inhibitor atervirdine mesylate (U-87,201E)
作者:Perrault, W.R.; et al.
来源:Org Process Res Dev 1997,1(2),106
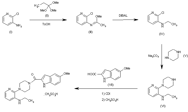
合成路线图解说明:

The reaction of 3-amino-2-chloropyridine (I) with triethyl orthoacetate (II) catalyzed by TsOH gives the acetimidate (III), which is reduced to 3-(ethylamino)-2-chloropyridine (IV) by means of DIBAL in toluene. The reaction of (IV) with piperazine (V) by means of Na2CO3 by heating at 144 C affords 3-(ethylamino)-2-(1-piperazinyl)pyridine (VI), which is finally condensed with 5-methoxy-1H-indole-2-carboxylic acid (II) by means of CDI in dichloromethane and treated with CH3SO3H in methanol to provide the target mesylate.

参考文献No.608355
标题:The toxicity of azidothymidine (AZT) in the treatment of patients with AIDS and AIDS-related complex: A double-blind, placebo-controlled trial
作者:Richman, D.D.; Fischl, M.A.; Grieco, M.H.; Gottlieb, M.S.; Volberding, P.A.; Laskin, O.L.; Leedom, J.M.; Groopman, J.E.; Mildvan, D.; Hirsch, M.S.; et al.
来源:New Engl J Med 1987,317(4),192-7
合成路线图解说明:

Nucleophilic aromatic substitution of 2-chloro-3-nitropyridine (II) with excess piperazine (I) in acetonitrile at room temperature produces 1-(3-nitro-2-pyridyl)piperazine. Protection of the free piperazine nitrogen by treatment with di-tert-butyldicarbonate affords nitropyridine (III). Reduction of the nitro group to the amine is accomplished via hydrogenation (40 psi) over palladium on carbon. Treatment of the aminopyridine with acetaldehyde and sodium cyanoborohydride in methanol affords the (ethylamino)pyridine (IV). Removal of the BOC protecting group with trifluoroacetic acid and coupling of the resulting 1-[3-(ethylamino)pyridyl]piperazine with 5-methoxyindole-2-carboxylic acid using 1-ethyl-3-(dimethylaminopropyl)carbodiimide (EDC) or 1,1'-carbonyldiimidazole (CDI) affords U-87201 (V). Dissolution of (V) in methanol, treatment with 1 eq of methanesulfonic acid, and the addition of diethyl ether results in the precipitation of atevirdine mesylate.

Drug Information Express,Drug R&D,Chemical Database,Patent Search.
Copyright © 2006-2026 Drug Future. All rights reserved.Contact Us