【药物名称】Arbutamine hydrochloride, GP-2-121-3, GenESA
化学结构式(Chemical Structure):
参考文献No.15725
标题:Diagnosis, evaluation & treatment of coronary artery disease by exercise simulation using closed loop drug delivery of an exercise simulating agent beta agonist
作者:Tuttle, R.R.; Browne III, C.E. (Sicor Inc.)
来源:EP 0329464; JP 1998276991; US 5108363
合成路线图解说明:

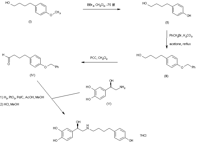
Demethylation of 4-(4-methoxyphenyl)butanol (I) by means of BBr3 gave phenol (II), which was subsequently protected as the benzyl ether (III) with benzyl bromide and K2CO3. Oxidation of the primary alcohol (III) employing pyridinium chlorochromate yielded aldehyde (IV). Finally, reductive amination of aldehyde (IV) with norepinephrine (V), with concomitant O-debenzylation, was accomplished by hydrogenation in the presence of both PtO2 and Pd/C.

参考文献No.57802
标题:Optically active nitro alcohol derivs., optically active amino alcohol derivates, and process for preparing the same
作者:Shibasaki, M.; Fujita, M.; Urata, Y.; Sasai, H. (Chisso Corp.)
来源:EP 0947498; WO 9824753
合成路线图解说明:

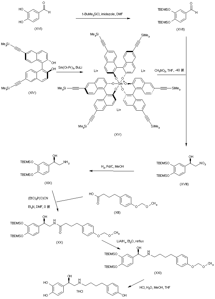
Protection of 3,4-dihydroxybenzaldehyde (XVI) with t-butyldimethylsilyl chloride and imidazole provided the corresponding bis-silyl ether (XVII) (2). Asymmetric nitroaldol condensation of aldehyde (XVII) with nitromethane in the presence of the chiral samarium tris(binaphthoxide) complex (XV) --prepared from (S)-6,6'-bis(trimethylsilylethynyl)-1,1'-dihydroxy-2,2'-binaphthalene (XIV) and samarium triisopropoxide in the presence of BuLi (2,3)-- gave rise to the (R)-nitro alcohol adduct (XVIII) with high optical purity. Catalytic hydrogenation of the nitro group of (XVIII) furnished the silylated norepinephrine (XIX), which was coupled with acid (XIII) in the presence of diethylphosphoryl cyanide to yield amide (XX). Reduction of amide (XX) with LiAlH4 gave amine (XXI). The silyl and methoxymethyl protecting groups were finally removed under acidic conditions to furnish the title compound.

参考文献No.698823
标题:Catalytic asymmetric synthesis of arbutamine
作者:Takaoka, E.; et al.
来源:Heterocycles 1997,46157
合成路线图解说明:

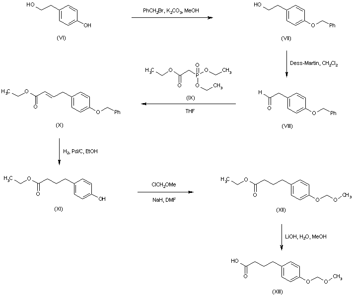
The intermediate carboxylic acid (XIII) was prepared as follows: 2-(4-Hydroxyphenyl)ethanol (VI) was selectively protected at the phenolic hydroxyl with benzyl bromide, yielding (VII). Subsequent oxidation of the aliphatic alcohol group of (VII) with Dess-Martin periodinane reagent provided aldehyde (VIII). Wadsworth-Emmons condensation of (VIII) with the sodium derivative of phosphonate (IX) furnished adduct (X), which was further hydrogenated over Pd/C to the saturated ester (XI). The phenolic hydroxyl group of (XI), which was concomitantly debenzylated in the preceding hydrogenation step, was further reprotected as the methoxymethyl ether (XII). Acid (XIII) was then obtained by basic hydrolysis of ester (XII).

合成路线图解说明:

Protection of 3,4-dihydroxybenzaldehyde (XVI) with t-butyldimethylsilyl chloride and imidazole provided the corresponding bis-silyl ether (XVII) (2). Asymmetric nitroaldol condensation of aldehyde (XVII) with nitromethane in the presence of the chiral samarium tris(binaphthoxide) complex (XV) --prepared from (S)-6,6'-bis(trimethylsilylethynyl)-1,1'-dihydroxy-2,2'-binaphthalene (XIV) and samarium triisopropoxide in the presence of BuLi (2,3)-- gave rise to the (R)-nitro alcohol adduct (XVIII) with high optical purity. Catalytic hydrogenation of the nitro group of (XVIII) furnished the silylated norepinephrine (XIX), which was coupled with acid (XIII) in the presence of diethylphosphoryl cyanide to yield amide (XX). Reduction of amide (XX) with LiAlH4 gave amine (XXI). The silyl and methoxymethyl protecting groups were finally removed under acidic conditions to furnish the title compound.

参考文献No.701703
标题:Effect of ligand structure on the zinc-catalyzed Henry reaction. Asymmetric syntheses of (-)-denopamine and (-)-arbutamine
作者:Trost, B.M.; Yeh, V.S.C.; Ito, H.; Bremeyer, N.
来源:Org Lett 2002,4(16),2621
合成路线图解说明:

The enantioselective condensation of 4-(tert-butyldimethylsilyloxy)benzaldehyde (I) with nitromethane (II), catalyzed by the chiral Zn ligand complex (III) in THF gives the (R)-2-nitroethanol derivative (IV), which is reduced with H2 over Pd/C in ethanol to yield the 2-aminoethanol derivative (V). The condensation of (V) with carboxylic acid (VI) by means of 2,2-dimethylpropanoyl chloride and DIEA in THF affords the corresponding amide (VII), which is reduced with LiAlH4 in Et2O to yield the protected hydroxyamine (VIII). Finally, this compound is desilylated by means of HCl and KF in MeOH to furnish the target tetrahydroxyamine derivative.

合成路线图解说明:

The enantioselective condensation of 3,4-bis(tert-butyldimethylsilyloxy)benzaldehyde (I) with nitromethane (II), catalyzed by the chiral Zn ligand complex (III) in THF gives the (R)-2-nitroethanol derivative (IV), which is reduced with H2 over Pd/C in methanol to yield the 2-aminoethanol derivative (V). The condensation of (V) with 4-[4-(tert-butyldimethylsilyloxy)phenyl]butyric acid (VI) by means of diphenyl chlorophosphate and DIEA in dichloromethane affords the corresponding amide (VII), which is reduced by conventional methods to the protected hydroxyamine (VIII). Finally, this compound is desilylated as usual to furnish the target tetrahydroxyamine derivative.

Drug Information Express,Drug R&D,Chemical Database,Patent Search.
Copyright © 2006-2026 Drug Future. All rights reserved.Contact Us