【药物名称】Biofor-389, BF-389
化学结构式(Chemical Structure):
参考文献No.161264
标题:BF-389
作者:Lee, S.J.; Frierson, M.R. III, Wong, S.; Naismith, R.W.
来源:Drugs Fut 1992,17(1),12
合成路线图解说明:

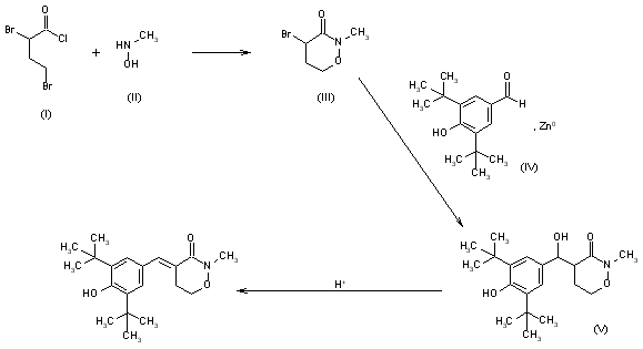
The 2,4-dibromobutyrylchloride (I) was reacted with N-methylhydroxylamine (II) in methylene chloride with NaOH to yield 4-bromo-2-methyl-5,6-dihydro-2H-1,2-oxazin-3(4H)-one (III). The reaction of (III) and zinc with 3,5-di-tert-butyl-4-hydroxybenzaldehyde (IV) underwent Reformatsky-type reaction. Dehydration of the hydroxymethyl intermediate (V) in refluxing toluene with p-toluenesulfonic acid afforded BF-389.

Drug Information Express,Drug R&D,Chemical Database,Patent Search.
Copyright © 2006-2026 Drug Future. All rights reserved.Contact Us