【药物名称】Sch-40338
化学结构式(Chemical Structure):
参考文献No.483516
标题:Dual antagonists of platelet activating factor and histamine 3. Synthesis, biological activity and conformational implications of substituted N-acyl-bis-arylcycloheptapiperazines
作者:Piwinski, J.J.; Wong, J.K.; Green, M.J.; Kaminski, J.J.; Colizzo, F.; Albanese, M.M.; Ganguly, A.K.; Billah, M.M.; Anthes, J.C.; West, R.E. Jr.
来源:Bioorg Med Chem Lett 1998,8(24),3469
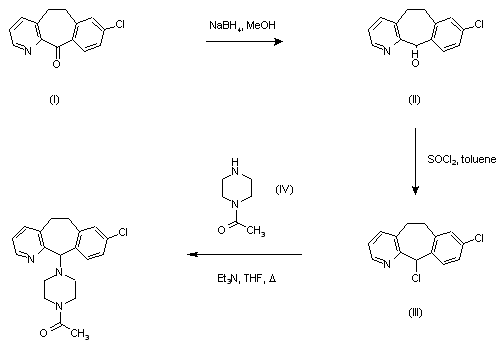
合成路线图解说明:

Benzocycloheptapyridinone (I) was reduced to alcohol (II) with NaBH4 in MeOH. Subsequent treatment of (II) with SOCl2 in toluene gave the tricyclic chloride (III). Finally, alkylation of N-acetyl piperazine (IV) with chloride (III) in the presence of Et3N in boiling THF provided the title compound.

Drug Information Express,Drug R&D,Chemical Database,Patent Search.
Copyright © 2006-2026 Drug Future. All rights reserved.Contact Us