【药物名称】Napitane mesilate, ABT-200, A-75200
化学结构式(Chemical Structure):
参考文献No.567282
标题:A scalable process for the novel antidepressant ABT-200
作者:Deshpande, M.N.; et al.
来源:Org Process Res Dev 1998,2(6),351
合成路线图解说明:

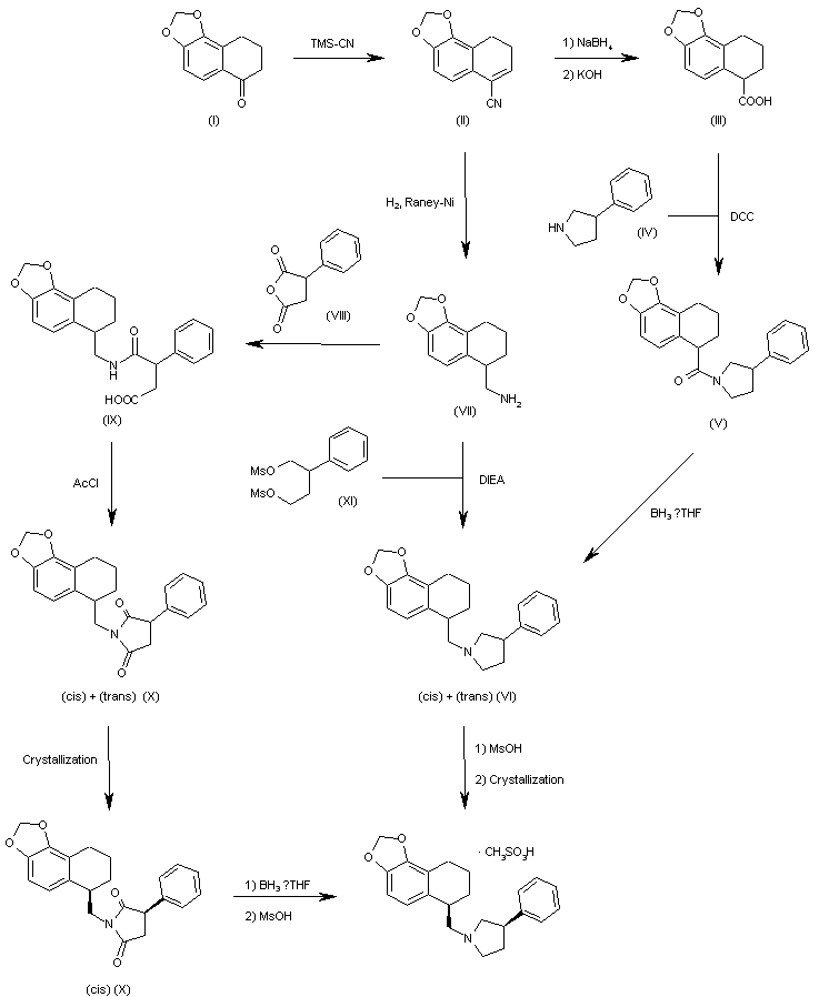
This compound has been obtained by several different ways: 1) The reaction of 6,7,8,9-tetrahydronaphtho[1,2-d][1,3]dioxol-6-one (I) with trimethylsilyl cyanide gives 8,9-dihydronaphtho[1,2-d][1,3]dioxole-6-carbonitrile (II), which is hydrogenated with NaBH4 and hydrolyzed with KOH yielding the carboxylic acid (III). The condensation of (III) with 3-phenylpyrrolidine (IV) by means of DCC in THF affords the acylated pyrrolidine (V), which is reduced with BH3 in THF giving intermediate (VI) as a mixture of the cis and trans racemic diastereomers. Finally, the reaction of this mixture with methanesulfonic acid yields the corresponding mixture of mesylates that is separated by crystallization to afford the target cis racemate. 2) The reduction of carbonitrile (II) with H2 over Raney-Ni gives the corresponding amine (VII), which is cyclized with 2-phenylsuccinic anhydride (VIII) to yield the succinamic acid derivative (IX). The cyclization of (IX) by means of acetyl chloride affords the succinimide (X) as a mixture of the cis and trans racemic diastereomers, which are separated by crystallization giving the cis racemate (cis)(X). Finally, this racemate is reduced with BH3.THF or BH3. Dimethyl sulfide and treated with methanesulfonic acid to afford the target compound. 3) The cyclization of amine (VII) with the dimesylate (XI) by means of DIEA in ethanol gives also the previously described mixture of the cis and trans racemic diastereomers (VI).

合成路线图解说明:

The reaction of 6,7,8,9-tetrahydronaphtho[1,2-d][1,3]dioxol-6-one (I) with nitromethane by means of butylamine in refluxing toluene/methylcyclohexane/acetic acid gives the nitromethyl derivative (XIII), which is reduced with H2 over Pd/C in methanol to yield the previously described amine (VII). Amine (VII) can be condensed with 2-phenylsuccinic acid by means of acetyl chloride in refluxing xylene yielding directly the previously reported succinimide (X) as a mixture of the cis and trans racemic diastereomers.

参考文献No.604691
标题:Synthesis and phamacological characterization of ABT-200: a putative novel antidepressant combining potent alpha-2 antagonism with moderate ne uotake inhibition
作者:Buckner, S.A.; Zelle, R.E.; Basha, F.Z.; Meyer, M.D.; Tietje, K.; Hancock, A.A.; de Bernardis, J.F.
来源:Bioorg Med Chem Lett 1994,4(11),1319-22
合成路线图解说明:

This compound has been obtained by several different ways: 1) The reaction of 6,7,8,9-tetrahydronaphtho[1,2-d][1,3]dioxol-6-one (I) with trimethylsilyl cyanide gives 8,9-dihydronaphtho[1,2-d][1,3]dioxole-6-carbonitrile (II), which is hydrogenated with NaBH4 and hydrolyzed with KOH yielding the carboxylic acid (III). The condensation of (III) with 3-phenylpyrrolidine (IV) by means of DCC in THF affords the acylated pyrrolidine (V), which is reduced with BH3 in THF giving intermediate (VI) as a mixture of the cis and trans racemic diastereomers. Finally, the reaction of this mixture with methanesulfonic acid yields the corresponding mixture of mesylates that is separated by crystallization to afford the target cis racemate. 2) The reduction of carbonitrile (II) with H2 over Raney-Ni gives the corresponding amine (VII), which is cyclized with 2-phenylsuccinic anhydride (VIII) to yield the succinamic acid derivative (IX). The cyclization of (IX) by means of acetyl chloride affords the succinimide (X) as a mixture of the cis and trans racemic diastereomers, which are separated by crystallization giving the cis racemate (cis)(X). Finally, this racemate is reduced with BH3.THF or BH3. Dimethyl sulfide and treated with methanesulfonic acid to afford the target compound. 3) The cyclization of amine (VII) with the dimesylate (XI) by means of DIEA in ethanol gives also the previously described mixture of the cis and trans racemic diastereomers (VI).

Drug Information Express,Drug R&D,Chemical Database,Patent Search.
Copyright © 2006-2026 Drug Future. All rights reserved.Contact Us