【药物名称】Seocalcitol, EB-1089
化学结构式(Chemical Structure):
参考文献No.14388
标题:Novel vitamin D analogues
作者:Binderup, E.T.; Calverley, M.J. (Leo Pharmaceutical Products Ltd. A/S)
来源:EP 0482100; JP 1992506965; US 5190935; WO 9100855
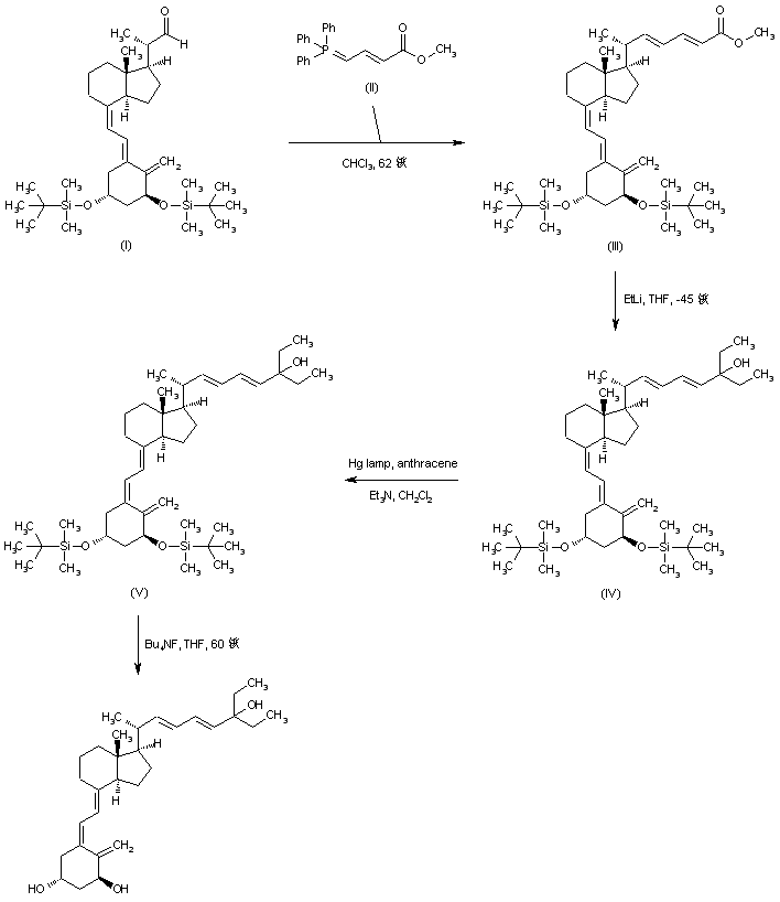
合成路线图解说明:

Wittig reaction of the vitamin D-derived aldehyde (I) with 3-(methoxycarbonyl)-2-propenyl-1-idene triphenylphosphorane (II) produced the dienoate ester (III). Subsequent addition of ethyllithium to the ester group of (III) furnished the tertiary alcohol (IV). Photochemical isomerization of the 5-6 double bond of (IV) gave rise to the (5Z)-isomer (V), which was finally desilylated using tetrabutylammonium fluoride in THF.

Drug Information Express,Drug R&D,Chemical Database,Patent Search.
Copyright © 2006-2026 Drug Future. All rights reserved.Contact Us