【药物名称】ES-242-5
化学结构式(Chemical Structure):
参考文献No.460079
标题:Synthesis and biological evaluation of the analogs of bioxanthracenes ES-242s, N-methyl-D-aspartate antagonists
作者:Tatsuta, K.; Yamazaki, T.; Yoshimoto, T.
来源:J Antibiot 1998,51(3),383
合成路线图解说明:

The title compound was originally isolated from the culture broths of Verticillum sp. The synthesis of this compound has been further described. The unsaturated lactone (I) was isomerized at the C-4 hydroxyl group, and subsequently protected as the methoxymethyl ether (II). Condensation of (II) with benzoate ester (III) in a tandem Michael addition-Dieckmann cyclization reaction afforded the tricyclic compound (IV), which was aromatized to the naphthopyranone (V) by treatment with cyclohexene and Pd/C. Protection of the hydroxyl group of (V) with benzyl bromide and K2CO3 gave benzyl ether (VI). After reduction of the lactone function of (VI) to the corresponding lactol by means of DIBAL, further deoxygenation with triethylsilane and trifluoroacetic acid provided the cyclic ether (VII). The benzyl group of (VII) was removed by hydrogenolysis with cyclohexadiene (VIII) and Pd/C, and the resulting hydroxynaphthopyran (IX) was oxidatively dimerized, affording (X) as a diasteromeric mixture. Aromatization of (X) by NaOH produced the bisnaphthol (XI).

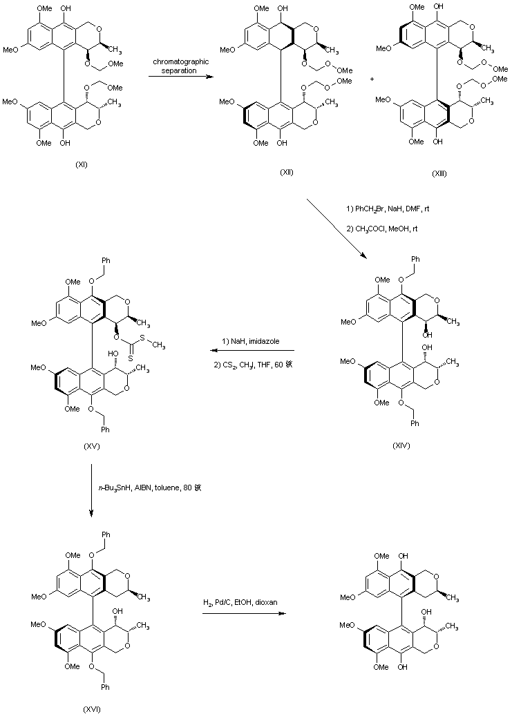
合成路线图解说明:

Bisnaphthol (XI) was chromatographically separated into atropisomers (XII) and (XIII). The required isomer (XII) was benzylated with NaH and benzyl bromide, and the methoxymethyl group was removed by treatment with HCl, generated from acetyl chloride in MeOH, to furnish diol (XIV). Reduction of one hydroxyl group of (XIV) was then effected by the sequence of conversion to the S-methyl dithiocarbonate (XV), followed by radical deoxygenation with n-Bu3SnH and AIBN to yield (XVI). The O-benzyl groups of (XVI) were finally removed by hydrogenation over Pd/C.

参考文献No.533234
标题:Synthesis of an N-methyl-D-aspartate receptor antagonist, ES-242-5, and its analogs
作者:Tatsuta, K.; Nagai, T.; Mase, T.; Yamazaki, T.; Tamura, T.
来源:J Antibiot 1999,52(4),422
合成路线图解说明:

The title compound was originally isolated from the culture broths of Verticillum sp. The synthesis of this compound has been further described. The unsaturated lactone (I) was isomerized at the C-4 hydroxyl group, and subsequently protected as the methoxymethyl ether (II). Condensation of (II) with benzoate ester (III) in a tandem Michael addition-Dieckmann cyclization reaction afforded the tricyclic compound (IV), which was aromatized to the naphthopyranone (V) by treatment with cyclohexene and Pd/C. Protection of the hydroxyl group of (V) with benzyl bromide and K2CO3 gave benzyl ether (VI). After reduction of the lactone function of (VI) to the corresponding lactol by means of DIBAL, further deoxygenation with triethylsilane and trifluoroacetic acid provided the cyclic ether (VII). The benzyl group of (VII) was removed by hydrogenolysis with cyclohexadiene (VIII) and Pd/C, and the resulting hydroxynaphthopyran (IX) was oxidatively dimerized, affording (X) as a diasteromeric mixture. Aromatization of (X) by NaOH produced the bisnaphthol (XI).

合成路线图解说明:

Bisnaphthol (XI) was chromatographically separated into atropisomers (XII) and (XIII). The required isomer (XII) was benzylated with NaH and benzyl bromide, and the methoxymethyl group was removed by treatment with HCl, generated from acetyl chloride in MeOH, to furnish diol (XIV). Reduction of one hydroxyl group of (XIV) was then effected by the sequence of conversion to the S-methyl dithiocarbonate (XV), followed by radical deoxygenation with n-Bu3SnH and AIBN to yield (XVI). The O-benzyl groups of (XVI) were finally removed by hydrogenation over Pd/C.

参考文献No.533236
标题:Absolute and atropisomeric structure of ES-242s, N-methyl-D-aspartate receptor antagonists
作者:Tatsuta, K.; Nagai, T.; Mase, T.; Tamura, T.; Nakamura, H.
来源:J Antibiot 1999,52(4),433
合成路线图解说明:

The title compound was originally isolated from the culture broths of Verticillum sp. The synthesis of this compound has been further described. The unsaturated lactone (I) was isomerized at the C-4 hydroxyl group, and subsequently protected as the methoxymethyl ether (II). Condensation of (II) with benzoate ester (III) in a tandem Michael addition-Dieckmann cyclization reaction afforded the tricyclic compound (IV), which was aromatized to the naphthopyranone (V) by treatment with cyclohexene and Pd/C. Protection of the hydroxyl group of (V) with benzyl bromide and K2CO3 gave benzyl ether (VI). After reduction of the lactone function of (VI) to the corresponding lactol by means of DIBAL, further deoxygenation with triethylsilane and trifluoroacetic acid provided the cyclic ether (VII). The benzyl group of (VII) was removed by hydrogenolysis with cyclohexadiene (VIII) and Pd/C, and the resulting hydroxynaphthopyran (IX) was oxidatively dimerized, affording (X) as a diasteromeric mixture. Aromatization of (X) by NaOH produced the bisnaphthol (XI).

合成路线图解说明:

Bisnaphthol (XI) was chromatographically separated into atropisomers (XII) and (XIII). The required isomer (XII) was benzylated with NaH and benzyl bromide, and the methoxymethyl group was removed by treatment with HCl, generated from acetyl chloride in MeOH, to furnish diol (XIV). Reduction of one hydroxyl group of (XIV) was then effected by the sequence of conversion to the S-methyl dithiocarbonate (XV), followed by radical deoxygenation with n-Bu3SnH and AIBN to yield (XVI). The O-benzyl groups of (XVI) were finally removed by hydrogenation over Pd/C.

Drug Information Express,Drug R&D,Chemical Database,Patent Search.
Copyright © 2006-2026 Drug Future. All rights reserved.Contact Us