【药物名称】OPC-14117
化学结构式(Chemical Structure):
参考文献No.3999
标题:2,3-Dihydro-1H-indene derivs., a process for preparing them and pharmaceutical compsns. containing same
作者:Oshiro, Y.; Ueda, H.; Nakagawa, K. (Otsuka Pharmaceutical Co., Ltd.)
来源:EP 0173331; ES 8800121; ES 8800884; ES 8801180; JP 1986069747; JP 1987129258; JP 1993004950; US 4788130; US 4895847; US 5242919
合成路线图解说明:

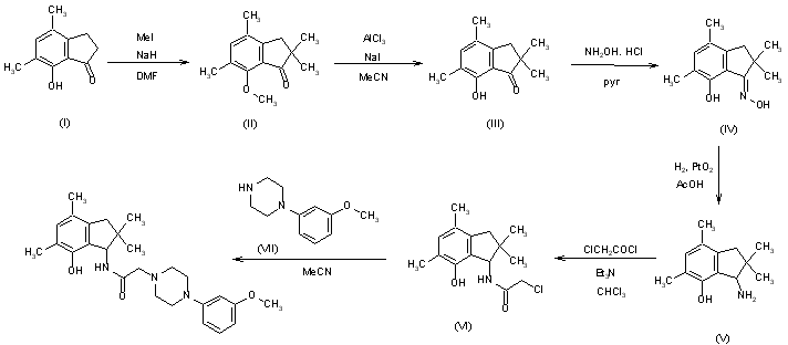
Alkylation of 4,6-dimethyl-7-hydroxy-1-indanone (I) with methyliodide and sodium hydride in DMF affords 7-methoxy-2,2,4,6-tetramethyl-1-indanone (II), which is demethylated with aluminum chloride in CH3CN to give 7-hydroxy-2,2,4,6-tetramethyl-1-indanone (III). Oxime formation with hydroxylamine hydrochloride in pyridine yields 7-hydroxy-2,2,4,6-tetramethyl-1-indanone oxime (IV), which on treatment with hydrogen in the presence of platinum oxide in acetic acid gives 1-amino-7-hydroxy-2,2,4,6-tetramethylindan (V) (1, 3). Acetylation of (V) with chloroacetyl chloride and triethylamine gives 2-chloro-N-(7-hydroxy-2,2,4,6-tetramethylindan-1-yl)acetamide (VI), which is finally condensed with 1-(3-methoxyphenyl)piperazine (VII) in acetonitrile.

参考文献No.151600
标题:Novel cerebroprotective agents with central nervous system stimulating activity. 2. Synthesis and pharmacology of the 1-(acylamino)-7-hydroxyindan derivatives
作者:Tottori, K.; Tanaka, T.; Hirose, T.; Sakurai, Y.; Kikuchi, T.; Oshiro, Y.
来源:J Med Chem 1991,34(7),2014-23
合成路线图解说明:

Alkylation of 4,6-dimethyl-7-hydroxy-1-indanone (I) with methyliodide and sodium hydride in DMF affords 7-methoxy-2,2,4,6-tetramethyl-1-indanone (II), which is demethylated with aluminum chloride in CH3CN to give 7-hydroxy-2,2,4,6-tetramethyl-1-indanone (III). Oxime formation with hydroxylamine hydrochloride in pyridine yields 7-hydroxy-2,2,4,6-tetramethyl-1-indanone oxime (IV), which on treatment with hydrogen in the presence of platinum oxide in acetic acid gives 1-amino-7-hydroxy-2,2,4,6-tetramethylindan (V) (1, 3). Acetylation of (V) with chloroacetyl chloride and triethylamine gives 2-chloro-N-(7-hydroxy-2,2,4,6-tetramethylindan-1-yl)acetamide (VI), which is finally condensed with 1-(3-methoxyphenyl)piperazine (VII) in acetonitrile.

参考文献No.214059
标题:OPC-14117
作者:Mealy, N.; Prous, J.; Casta馿r, J.
来源:Drugs Fut 1993,18(8),707
合成路线图解说明:

Alkylation of 4,6-dimethyl-7-hydroxy-1-indanone (I) with methyliodide and sodium hydride in DMF affords 7-methoxy-2,2,4,6-tetramethyl-1-indanone (II), which is demethylated with aluminum chloride in CH3CN to give 7-hydroxy-2,2,4,6-tetramethyl-1-indanone (III). Oxime formation with hydroxylamine hydrochloride in pyridine yields 7-hydroxy-2,2,4,6-tetramethyl-1-indanone oxime (IV), which on treatment with hydrogen in the presence of platinum oxide in acetic acid gives 1-amino-7-hydroxy-2,2,4,6-tetramethylindan (V) (1, 3). Acetylation of (V) with chloroacetyl chloride and triethylamine gives 2-chloro-N-(7-hydroxy-2,2,4,6-tetramethylindan-1-yl)acetamide (VI), which is finally condensed with 1-(3-methoxyphenyl)piperazine (VII) in acetonitrile.

参考文献No.220572
标题:Novel cerebroprotective agents with central nervous system stimulating activity. 1. Synthesis and pharmacology of 1-amino-7-hydroxyindan derivatives
作者:Oshiro, Y.; Sakurai, Y.; Tanaka, T.; Ueda, H.; Kikuchi, T.; Tottori, K.
来源:J Med Chem 1991,34(7),2004-13
合成路线图解说明:

Alkylation of 4,6-dimethyl-7-hydroxy-1-indanone (I) with methyliodide and sodium hydride in DMF affords 7-methoxy-2,2,4,6-tetramethyl-1-indanone (II), which is demethylated with aluminum chloride in CH3CN to give 7-hydroxy-2,2,4,6-tetramethyl-1-indanone (III). Oxime formation with hydroxylamine hydrochloride in pyridine yields 7-hydroxy-2,2,4,6-tetramethyl-1-indanone oxime (IV), which on treatment with hydrogen in the presence of platinum oxide in acetic acid gives 1-amino-7-hydroxy-2,2,4,6-tetramethylindan (V) (1, 3). Acetylation of (V) with chloroacetyl chloride and triethylamine gives 2-chloro-N-(7-hydroxy-2,2,4,6-tetramethylindan-1-yl)acetamide (VI), which is finally condensed with 1-(3-methoxyphenyl)piperazine (VII) in acetonitrile.

Drug Information Express,Drug R&D,Chemical Database,Patent Search.
Copyright © 2006-2026 Drug Future. All rights reserved.Contact Us