【药物名称】Pimilprost, SM-10902, Skipron
化学结构式(Chemical Structure):
参考文献No.22983
标题:Bicyclooctane derivs. and their production and use
作者:Muraoka, M.; Nakamura, T.; Sugie, A.; Ono, K.; Yamamoto, M. (Sumitomo Pharmaceuticals Co., Ltd.)
来源:EP 0115954
合成路线图解说明:

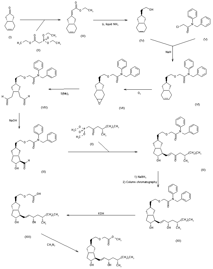
The Wittig condensation of cis-bicyclo[4.3.0]nona-3-en-8-one (I) with triethyl phosphonoacetate (II) by means of NaH in THF gives 2-(cis-bicyclo[4.3.0]octa-3-en-8-ylidene)acetic acid ethyl ester (III), which is reduced with Li in liquid ammonia to the corresponding ethanol derivative (IV). The condensation of (IV) with N-benzyl-2-chloro-N-phenylacetamide (V) by means of NaH in toluene affords the corresponding ethoxyacetamide (VI), which is treated with ozone in methanol to give the epoxide (VII). Cleavage of (VII) with dimethyl sulfide in the same solvent yields the dialdehyde (VIII), which is submitted to an aldol cyclization by means of NaOH in methanol/water to afford the 2beta-formyl-3alpha-hydroxy derivative (IX). The Wittig condensation of aldehyde (IX) with dimethyl 4(S)-methyl-2-oxooctylphosphonate (X) by means of NaH in THF gives the unsaturated hydroxy ketone (XI). The ketone group of (XI) is reduced with NaBH4 in methanol, and the resulting diastereomeric diols obtained are separated by column chromatography to yield the alpha,alpha-dihydroxy compound (XII). The hydrolysis of (XII) with KOH in refluxing ethanol/water yields the corresponding free acid (XIII), which is finally methylated with diazomethane in ethyl ether to obtain a mixture of the epoxy alcohol (XXIVa) and the unsaturated alcohol (XXIVb). A chromatographic separation of the mixture followed by desilylation with acetic acid in methanol gives the desired final product.

合成路线图解说明:

The reduction of the enone (I) with Red Al or NaBH4 gives the corresponding alcohol (XIV), which is mesylated with methanesulfonyl chloride to the ester (XV). The condensation of (XV) with dimethyl malonate by means of NaH in toluene/methanol yields the malonic derivative (XVI), which is submitted to hydrolysis with KOH and partial decarboxylation in refluxing toluene to afford the substituted acetic acid (XVII). This compound is then reduced with Red Al or LiAlH4 to the ethanol derivative (IV), already obtained. The condensation of (IV) with sodium chloroacetate by means of BuLi in DMSO, followed by esterification with methanol in H2SO4 gives the ethoxyacetic ester (XVIII), which is treated with H2O2 and Na2WO4 in dichloromethane/water with a phase-transfer agent in order to obtain the epoxide (XIX). The cleavage of (XIX) with HIO4 in the same solvent mixture affords the dialdehyde (XX), which is submitted to an aldol condensation by means of piperidine/acetic acid, yielding a mixture of two hydroxy aldehydes (XXIa and XXIb). This mixture is submitted to a Wittig condensation with the phosphonate (X), already used, and a mixture of two isomeric hydroxy ketones (XXIIa and XXIIb) is obtained. The free hydroxy group of (XXIIa and XXIIb) is protected with tert-butyldimethylsilyl chloride, and then the oxo group is reduced with NaBH4 and CeCl3 to obtain the mixture of unsaturated alcohols (XXIIIa and XXIIIb).

合成路线图解说明:

This new mixture is submitted to a selective epoxidation with (-)-DIPT, titanium tetraisopropoxide and TBHP in order to obtain a mixture of the epoxy alcohol (XXIVa) and the unsaturated alcohol (XXIVb). A chromatographic separation of the mixture followed by desilylation with acetic acid in methanol gives the desired final product.

参考文献No.29671
标题:Manufacturing method of optically active carbacyclin derivs
作者:Shimoju, T.; Tanno, N. (Sumitomo Pharmaceuticals Co., Ltd.)
来源:JP 1991220158
合成路线图解说明:

This new mixture is submitted to a selective epoxidation with (-)-DIPT, titanium tetraisopropoxide and TBHP in order to obtain a mixture of the epoxy alcohol (XXIVa) and the unsaturated alcohol (XXIVb). A chromatographic separation of the mixture followed by desilylation with acetic acid in methanol gives the desired final product.

参考文献No.151641
标题:Synthesis and structure-activity relationships of SM-10902, a novel drug for the treatment of peripheral circulatory insufficiency
作者:Kawakami, H.; Kojima, A.; Shimoju, T.; Shimaji, K.; Nagata, H.; Muraoka, M.; Tanno, N.
来源:111th Annu Meet Pharmaceut Soc Jpn (March 28-30, Tokyo) 1991,Abst 29V 1-036
合成路线图解说明:

This new mixture is submitted to a selective epoxidation with (-)-DIPT, titanium tetraisopropoxide and TBHP in order to obtain a mixture of the epoxy alcohol (XXIVa) and the unsaturated alcohol (XXIVb). A chromatographic separation of the mixture followed by desilylation with acetic acid in methanol gives the desired final product.

参考文献No.243954
标题:Syntheses of new 3-oxa-methano-PGI1 derivatives and their biological properties
作者:Kawakami, H.; Muraoka, M.; Sugie, A.; Ono, K.; Kojima, A.
来源:Bioorg Med Chem Lett 1993,3(12),2821-6
合成路线图解说明:

The reduction of the enone (I) with Red Al or NaBH4 gives the corresponding alcohol (XIV), which is mesylated with methanesulfonyl chloride to the ester (XV). The condensation of (XV) with dimethyl malonate by means of NaH in toluene/methanol yields the malonic derivative (XVI), which is submitted to hydrolysis with KOH and partial decarboxylation in refluxing toluene to afford the substituted acetic acid (XVII). This compound is then reduced with Red Al or LiAlH4 to the ethanol derivative (IV), already obtained. The condensation of (IV) with sodium chloroacetate by means of BuLi in DMSO, followed by esterification with methanol in H2SO4 gives the ethoxyacetic ester (XVIII), which is treated with H2O2 and Na2WO4 in dichloromethane/water with a phase-transfer agent in order to obtain the epoxide (XIX). The cleavage of (XIX) with HIO4 in the same solvent mixture affords the dialdehyde (XX), which is submitted to an aldol condensation by means of piperidine/acetic acid, yielding a mixture of two hydroxy aldehydes (XXIa and XXIb). This mixture is submitted to a Wittig condensation with the phosphonate (X), already used, and a mixture of two isomeric hydroxy ketones (XXIIa and XXIIb) is obtained. The free hydroxy group of (XXIIa and XXIIb) is protected with tert-butyldimethylsilyl chloride, and then the oxo group is reduced with NaBH4 and CeCl3 to obtain the mixture of unsaturated alcohols (XXIIIa and XXIIIb).

合成路线图解说明:

This new mixture is submitted to a selective epoxidation with (-)-DIPT, titanium tetraisopropoxide and TBHP in order to obtain a mixture of the epoxy alcohol (XXIVa) and the unsaturated alcohol (XXIVb). A chromatographic separation of the mixture followed by desilylation with acetic acid in methanol gives the desired final product.

参考文献No.353311
标题:Pimilprost
作者:Mealy, N.; Casta馿r, J.
来源:Drugs Fut 1996,21(4),369
合成路线图解说明:

The Wittig condensation of cis-bicyclo[4.3.0]nona-3-en-8-one (I) with triethyl phosphonoacetate (II) by means of NaH in THF gives 2-(cis-bicyclo[4.3.0]octa-3-en-8-ylidene)acetic acid ethyl ester (III), which is reduced with Li in liquid ammonia to the corresponding ethanol derivative (IV). The condensation of (IV) with N-benzyl-2-chloro-N-phenylacetamide (V) by means of NaH in toluene affords the corresponding ethoxyacetamide (VI), which is treated with ozone in methanol to give the epoxide (VII). Cleavage of (VII) with dimethyl sulfide in the same solvent yields the dialdehyde (VIII), which is submitted to an aldol cyclization by means of NaOH in methanol/water to afford the 2beta-formyl-3alpha-hydroxy derivative (IX). The Wittig condensation of aldehyde (IX) with dimethyl 4(S)-methyl-2-oxooctylphosphonate (X) by means of NaH in THF gives the unsaturated hydroxy ketone (XI). The ketone group of (XI) is reduced with NaBH4 in methanol, and the resulting diastereomeric diols obtained are separated by column chromatography to yield the alpha,alpha-dihydroxy compound (XII). The hydrolysis of (XII) with KOH in refluxing ethanol/water yields the corresponding free acid (XIII), which is finally methylated with diazomethane in ethyl ether to obtain a mixture of the epoxy alcohol (XXIVa) and the unsaturated alcohol (XXIVb). A chromatographic separation of the mixture followed by desilylation with acetic acid in methanol gives the desired final product.

合成路线图解说明:

The reduction of the enone (I) with Red Al or NaBH4 gives the corresponding alcohol (XIV), which is mesylated with methanesulfonyl chloride to the ester (XV). The condensation of (XV) with dimethyl malonate by means of NaH in toluene/methanol yields the malonic derivative (XVI), which is submitted to hydrolysis with KOH and partial decarboxylation in refluxing toluene to afford the substituted acetic acid (XVII). This compound is then reduced with Red Al or LiAlH4 to the ethanol derivative (IV), already obtained. The condensation of (IV) with sodium chloroacetate by means of BuLi in DMSO, followed by esterification with methanol in H2SO4 gives the ethoxyacetic ester (XVIII), which is treated with H2O2 and Na2WO4 in dichloromethane/water with a phase-transfer agent in order to obtain the epoxide (XIX). The cleavage of (XIX) with HIO4 in the same solvent mixture affords the dialdehyde (XX), which is submitted to an aldol condensation by means of piperidine/acetic acid, yielding a mixture of two hydroxy aldehydes (XXIa and XXIb). This mixture is submitted to a Wittig condensation with the phosphonate (X), already used, and a mixture of two isomeric hydroxy ketones (XXIIa and XXIIb) is obtained. The free hydroxy group of (XXIIa and XXIIb) is protected with tert-butyldimethylsilyl chloride, and then the oxo group is reduced with NaBH4 and CeCl3 to obtain the mixture of unsaturated alcohols (XXIIIa and XXIIIb).

合成路线图解说明:

This new mixture is submitted to a selective epoxidation with (-)-DIPT, titanium tetraisopropoxide and TBHP in order to obtain a mixture of the epoxy alcohol (XXIVa) and the unsaturated alcohol (XXIVb). A chromatographic separation of the mixture followed by desilylation with acetic acid in methanol gives the desired final product.

Drug Information Express,Drug R&D,Chemical Database,Patent Search.
Copyright © 2006-2026 Drug Future. All rights reserved.Contact Us