【药物名称】Setazindol, PRF-36
化学结构式(Chemical Structure):
参考文献No.164804
标题:Setazindol
作者:Hillier, K.
来源:Drugs Fut 1979,4(5),365
合成路线图解说明:

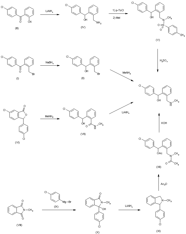
Compound can be prepared in several different ways: 1) The reduction of 2-bromomethyl-4'-chlorobenzophenone (I) with NaBH4 in methanol gives 2-bromomethyl-4'-chlorobenzhydrol (II), which is then treated with methylamine in methanol. 2) The reduction of 2-cyano-4'-chlorobenzophenone (III) with LiAlH4 in THF gives 2-aminomethyl-4'-chlorobenzhydrol (IV), which is acylated with p-toluenesulfonyl chloride in pyridine and methylated with methyl iodide and NaOH in ethanol to give 2-(N-methyl-N-tosylaminomethyl)-4'-chlorobenzhydrol (V). Finally, this compound is hydrolyzed with H2SO4 water at 180 C. 3) The reaction of 3-(4-chlorophenyl)phthalide (VI) with methylamine in benzene gives 2-methylaminocarbonyl-4'-chlorobenzhydrol (VII), which is then reduced with LiAlH4 in THF. 4) The Grignard reaction of N-methylphthalimide (VIII) with 4-chlorophenylmagnesium bromide (IX) gives 1-(4'-chlorophenyl)-1-hydroxy-2-methyl-3-oxoisoindoline (X), which is reduced with LiAlH4 affording 1-(4'-chlorophenyl)-2-methylisoindoline (XI). The treatment of (XI) with refluxing acetic anhydride yields 2-[(N-methyl-N-acetylamino)methyl]-4'-chloro-O-acetylbenzhydrol (XII), which is finally hydrolyzed with KOH in refluxing ethylene glycol.

参考文献No.607663
标题:New group of anorexigenic compounds
作者:Freter, K.; Gotz, M.; Oliver, J.T.
来源:J Med Chem 1970,13(6),1228-30
合成路线图解说明:

Compound can be prepared in several different ways: 1) The reduction of 2-bromomethyl-4'-chlorobenzophenone (I) with NaBH4 in methanol gives 2-bromomethyl-4'-chlorobenzhydrol (II), which is then treated with methylamine in methanol. 2) The reduction of 2-cyano-4'-chlorobenzophenone (III) with LiAlH4 in THF gives 2-aminomethyl-4'-chlorobenzhydrol (IV), which is acylated with p-toluenesulfonyl chloride in pyridine and methylated with methyl iodide and NaOH in ethanol to give 2-(N-methyl-N-tosylaminomethyl)-4'-chlorobenzhydrol (V). Finally, this compound is hydrolyzed with H2SO4 water at 180 C. 3) The reaction of 3-(4-chlorophenyl)phthalide (VI) with methylamine in benzene gives 2-methylaminocarbonyl-4'-chlorobenzhydrol (VII), which is then reduced with LiAlH4 in THF. 4) The Grignard reaction of N-methylphthalimide (VIII) with 4-chlorophenylmagnesium bromide (IX) gives 1-(4'-chlorophenyl)-1-hydroxy-2-methyl-3-oxoisoindoline (X), which is reduced with LiAlH4 affording 1-(4'-chlorophenyl)-2-methylisoindoline (XI). The treatment of (XI) with refluxing acetic anhydride yields 2-[(N-methyl-N-acetylamino)methyl]-4'-chloro-O-acetylbenzhydrol (XII), which is finally hydrolyzed with KOH in refluxing ethylene glycol.

参考文献No.701448
标题:
作者:Freter, K.; et al.
来源:CA 982608
合成路线图解说明:

Compound can be prepared in several different ways: 1) The reduction of 2-bromomethyl-4'-chlorobenzophenone (I) with NaBH4 in methanol gives 2-bromomethyl-4'-chlorobenzhydrol (II), which is then treated with methylamine in methanol. 2) The reduction of 2-cyano-4'-chlorobenzophenone (III) with LiAlH4 in THF gives 2-aminomethyl-4'-chlorobenzhydrol (IV), which is acylated with p-toluenesulfonyl chloride in pyridine and methylated with methyl iodide and NaOH in ethanol to give 2-(N-methyl-N-tosylaminomethyl)-4'-chlorobenzhydrol (V). Finally, this compound is hydrolyzed with H2SO4 water at 180 C. 3) The reaction of 3-(4-chlorophenyl)phthalide (VI) with methylamine in benzene gives 2-methylaminocarbonyl-4'-chlorobenzhydrol (VII), which is then reduced with LiAlH4 in THF. 4) The Grignard reaction of N-methylphthalimide (VIII) with 4-chlorophenylmagnesium bromide (IX) gives 1-(4'-chlorophenyl)-1-hydroxy-2-methyl-3-oxoisoindoline (X), which is reduced with LiAlH4 affording 1-(4'-chlorophenyl)-2-methylisoindoline (XI). The treatment of (XI) with refluxing acetic anhydride yields 2-[(N-methyl-N-acetylamino)methyl]-4'-chloro-O-acetylbenzhydrol (XII), which is finally hydrolyzed with KOH in refluxing ethylene glycol.

参考文献No.701449
标题:
作者:Boehringer, C.H.; Sohn
来源:US 3635974
合成路线图解说明:

Compound can be prepared in several different ways: 1) The reduction of 2-bromomethyl-4'-chlorobenzophenone (I) with NaBH4 in methanol gives 2-bromomethyl-4'-chlorobenzhydrol (II), which is then treated with methylamine in methanol. 2) The reduction of 2-cyano-4'-chlorobenzophenone (III) with LiAlH4 in THF gives 2-aminomethyl-4'-chlorobenzhydrol (IV), which is acylated with p-toluenesulfonyl chloride in pyridine and methylated with methyl iodide and NaOH in ethanol to give 2-(N-methyl-N-tosylaminomethyl)-4'-chlorobenzhydrol (V). Finally, this compound is hydrolyzed with H2SO4 water at 180 C. 3) The reaction of 3-(4-chlorophenyl)phthalide (VI) with methylamine in benzene gives 2-methylaminocarbonyl-4'-chlorobenzhydrol (VII), which is then reduced with LiAlH4 in THF. 4) The Grignard reaction of N-methylphthalimide (VIII) with 4-chlorophenylmagnesium bromide (IX) gives 1-(4'-chlorophenyl)-1-hydroxy-2-methyl-3-oxoisoindoline (X), which is reduced with LiAlH4 affording 1-(4'-chlorophenyl)-2-methylisoindoline (XI). The treatment of (XI) with refluxing acetic anhydride yields 2-[(N-methyl-N-acetylamino)methyl]-4'-chloro-O-acetylbenzhydrol (XII), which is finally hydrolyzed with KOH in refluxing ethylene glycol.

参考文献No.701450
标题:
作者:Freter, K.; et al.
来源:US 3728460
合成路线图解说明:

Compound can be prepared in several different ways: 1) The reduction of 2-bromomethyl-4'-chlorobenzophenone (I) with NaBH4 in methanol gives 2-bromomethyl-4'-chlorobenzhydrol (II), which is then treated with methylamine in methanol. 2) The reduction of 2-cyano-4'-chlorobenzophenone (III) with LiAlH4 in THF gives 2-aminomethyl-4'-chlorobenzhydrol (IV), which is acylated with p-toluenesulfonyl chloride in pyridine and methylated with methyl iodide and NaOH in ethanol to give 2-(N-methyl-N-tosylaminomethyl)-4'-chlorobenzhydrol (V). Finally, this compound is hydrolyzed with H2SO4 water at 180 C. 3) The reaction of 3-(4-chlorophenyl)phthalide (VI) with methylamine in benzene gives 2-methylaminocarbonyl-4'-chlorobenzhydrol (VII), which is then reduced with LiAlH4 in THF. 4) The Grignard reaction of N-methylphthalimide (VIII) with 4-chlorophenylmagnesium bromide (IX) gives 1-(4'-chlorophenyl)-1-hydroxy-2-methyl-3-oxoisoindoline (X), which is reduced with LiAlH4 affording 1-(4'-chlorophenyl)-2-methylisoindoline (XI). The treatment of (XI) with refluxing acetic anhydride yields 2-[(N-methyl-N-acetylamino)methyl]-4'-chloro-O-acetylbenzhydrol (XII), which is finally hydrolyzed with KOH in refluxing ethylene glycol.

参考文献No.701451
标题:
作者:Freter, K.; et al.
来源:ZA 6902707
合成路线图解说明:

Compound can be prepared in several different ways: 1) The reduction of 2-bromomethyl-4'-chlorobenzophenone (I) with NaBH4 in methanol gives 2-bromomethyl-4'-chlorobenzhydrol (II), which is then treated with methylamine in methanol. 2) The reduction of 2-cyano-4'-chlorobenzophenone (III) with LiAlH4 in THF gives 2-aminomethyl-4'-chlorobenzhydrol (IV), which is acylated with p-toluenesulfonyl chloride in pyridine and methylated with methyl iodide and NaOH in ethanol to give 2-(N-methyl-N-tosylaminomethyl)-4'-chlorobenzhydrol (V). Finally, this compound is hydrolyzed with H2SO4 water at 180 C. 3) The reaction of 3-(4-chlorophenyl)phthalide (VI) with methylamine in benzene gives 2-methylaminocarbonyl-4'-chlorobenzhydrol (VII), which is then reduced with LiAlH4 in THF. 4) The Grignard reaction of N-methylphthalimide (VIII) with 4-chlorophenylmagnesium bromide (IX) gives 1-(4'-chlorophenyl)-1-hydroxy-2-methyl-3-oxoisoindoline (X), which is reduced with LiAlH4 affording 1-(4'-chlorophenyl)-2-methylisoindoline (XI). The treatment of (XI) with refluxing acetic anhydride yields 2-[(N-methyl-N-acetylamino)methyl]-4'-chloro-O-acetylbenzhydrol (XII), which is finally hydrolyzed with KOH in refluxing ethylene glycol.

参考文献No.800512
标题:2-(Aminomethyl)benzhydrols
作者:Goetz, M.; Freter, K.
来源:Can J Chem 1970,48(11),1670-76
合成路线图解说明:

Compound can be prepared in several different ways: 1) The reduction of 2-bromomethyl-4'-chlorobenzophenone (I) with NaBH4 in methanol gives 2-bromomethyl-4'-chlorobenzhydrol (II), which is then treated with methylamine in methanol. 2) The reduction of 2-cyano-4'-chlorobenzophenone (III) with LiAlH4 in THF gives 2-aminomethyl-4'-chlorobenzhydrol (IV), which is acylated with p-toluenesulfonyl chloride in pyridine and methylated with methyl iodide and NaOH in ethanol to give 2-(N-methyl-N-tosylaminomethyl)-4'-chlorobenzhydrol (V). Finally, this compound is hydrolyzed with H2SO4 water at 180 C. 3) The reaction of 3-(4-chlorophenyl)phthalide (VI) with methylamine in benzene gives 2-methylaminocarbonyl-4'-chlorobenzhydrol (VII), which is then reduced with LiAlH4 in THF. 4) The Grignard reaction of N-methylphthalimide (VIII) with 4-chlorophenylmagnesium bromide (IX) gives 1-(4'-chlorophenyl)-1-hydroxy-2-methyl-3-oxoisoindoline (X), which is reduced with LiAlH4 affording 1-(4'-chlorophenyl)-2-methylisoindoline (XI). The treatment of (XI) with refluxing acetic anhydride yields 2-[(N-methyl-N-acetylamino)methyl]-4'-chloro-O-acetylbenzhydrol (XII), which is finally hydrolyzed with KOH in refluxing ethylene glycol.

Drug Information Express,Drug R&D,Chemical Database,Patent Search.
Copyright © 2006-2026 Drug Future. All rights reserved.Contact Us