【药物名称】Leurubicin, E-88/032(hydrochloride), CT-012002, RP-39937, L-ADR, LEU-DOX, Doxogenix L
化学结构式(Chemical Structure):
参考文献No.16124
标题:Novel doxorubicin derivs., process for their preparation and pharmaceutical compsns
作者:Baurain, R.; Trouet, A. (Medgenix Group)
来源:BE 0869485; DE 2930637
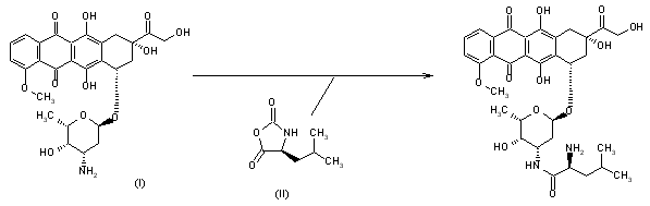
合成路线图解说明:

By condensation of doxorubicin hydrochloride (I) with L-leucine N-carboxyanhydride (II) in a buffered aqueous solution at pH 10.2.

参考文献No.198544
标题:Leurubicin
作者:Prous, J.; Casta馿r, J.
来源:Drugs Fut 1993,18(2),116
合成路线图解说明:

By condensation of doxorubicin hydrochloride (I) with L-leucine N-carboxyanhydride (II) in a buffered aqueous solution at pH 10.2.

Drug Information Express,Drug R&D,Chemical Database,Patent Search.
Copyright © 2006-2026 Drug Future. All rights reserved.Contact Us